logo

Crowdly

Browser

Add to Chrome

Вища математика (1-2 курс, 1р ВО, БІКС, очна)

Looking for Вища математика (1-2 курс, 1р ВО, БІКС, очна) test answers and solutions? Browse our comprehensive collection of verified answers for Вища математика (1-2 курс, 1р ВО, БІКС, очна) at elearning.kubg.edu.ua.

Get instant access to accurate answers and detailed explanations for your course questions. Our community-driven platform helps students succeed!

0%
0%
0%
0%
View this question

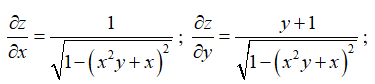
Вкажить номер правильного варіанту відповіді

View this question

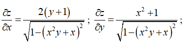
Вкажить номер правильного варіанту відповіді

View this question

Вкажить номер правильного варіанту відповіді

View this question

Вкажить номер правильного варіанту відповіді

View this question

View this question

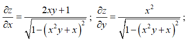
Вкажить номер правильного варіанту відповіді

View this question

Вкажить номер правильного варіанту відповіді

View this question

0%
0%
0%
0%
View this question

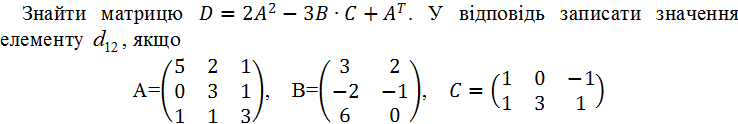
Поняття діагональної матриці вводиться ...

0%
0%
View this question

Want instant access to all verified answers on elearning.kubg.edu.ua?

Get Unlimited Answers To Exam Questions - Install Crowdly Extension Now!

Browser

Add to Chrome