logo

Crowdly

Browser

Add to Chrome

ELTUD403N - Komplex biológiai közegek és hőtani műveletek termodinamikája - nappali - SZÁMOLÁS - BSc - 2024/2025 – tavasz

Looking for ELTUD403N - Komplex biológiai közegek és hőtani műveletek termodinamikája - nappali - SZÁMOLÁS - BSc - 2024/2025 – tavasz test answers and solutions? Browse our comprehensive collection of verified answers for ELTUD403N - Komplex biológiai közegek és hőtani műveletek termodinamikája - nappali - SZÁMOLÁS - BSc - 2024/2025 – tavasz at elearning.uni-mate.hu.

Get instant access to accurate answers and detailed explanations for your course questions. Our community-driven platform helps students succeed!

Egészítse ki helyesen a mondatokat!

View this question

Egészítse ki a mondatokat a megfelelő szavakkal!

View this question

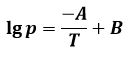
Egy komponens 2 fázisa esetén az átalakulás hőmérséklete meghatározza annak nyomását. A párolgás tartományára a Clapeyron egyenlet melyik két fázis segítségével írható fel?

0%
100%
0%
0%
0%
View this question

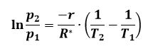
Melyik egyenlet segítségével határozható meg a víz forráspontja adott nyomáson a légköri nyomáson vett forrásponthoz viszonyítva?

0%
0%
0%
0%
View this question

Melyik állítás igaz? (két helyes válasz van)

100%
0%
0%
0%
View this question

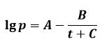
Párosítsa össze helyesen a képleteket a nevükkel!

View this question

Egészítse ki helyesen az alábbi mondatot!

A Carnot ....................................... esetén a befektetett munka ................................ból származik.

0%
0%
0%
0%
View this question

Melyik körfolyamat áll 5 ütemből?

0%
0%
0%
0%
View this question

Párosítsa az összefüggéseket az ideális gázok speciális állapotváltozásaival!

View this question

Párosítsa össze az összefüggéseket az ideális gázok speciális állapotváltozásaival!

View this question

Want instant access to all verified answers on elearning.uni-mate.hu?

Get Unlimited Answers To Exam Questions - Install Crowdly Extension Now!

Browser

Add to Chrome