logo

Crowdly

Browser

Add to Chrome

Теорія ймовірностей і математична статистика / Бойко А.Р.

Looking for Теорія ймовірностей і математична статистика / Бойко А.Р. test answers and solutions? Browse our comprehensive collection of verified answers for Теорія ймовірностей і математична статистика / Бойко А.Р. at elr.tnpu.edu.ua.

Get instant access to accurate answers and detailed explanations for your course questions. Our community-driven platform helps students succeed!

Варіанти, розміщені в порядку неспадання, утворюють…

100%
0%
0%
0%
View this question
Нехай - події,що утворюють повну групу. Тоді для будь-якої події A, що може настати лише за умови появи однієї з несумісних подій (гіпотез) , і такої, що P(A)≠0 , виконуються певні рівності, які називаються...
100%
0%
0%
0%
View this question

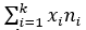
Ймовірність суми двох сумісних подій знаходиться за формулою ....

0%
100%
0%
0%
View this question

Якщо ймовірність в законі розподілу має  вигляд ,   то цілочисельна випадкова величина розподілена за ....

0%
0%
100%
0%
View this question

Вибіркова дисперсія характеризує…

0%
0%
100%
0%
View this question

Яке із зображень є графіком емпіричної функції розподілу?

0%
0%
0%
0%
View this question

Випадкова величина Х – число випадань 3 очок на верхній грані кубика при шестикратному підкиданні, -  може набувати значень:

0%
0%
0%
100%
View this question

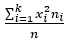
Вибіркову середню статистичного розподілу частот обчислюють за формулою…

100%
0%
0%
0%
View this question

Ймовірність того, що в n незалежних випробуваннях, подія відбудеться рівно m разів і не відбудеться n-m разів (в будь-якій послідовності) обчислюється за ... 

0%
0%
0%
0%
View this question

Подія є випадковою, якщо сума цифр на гранях, що випали після одночасного кидання двох гральних кубиків дорівнює...

0%
0%
0%
100%
View this question

Want instant access to all verified answers on elr.tnpu.edu.ua?

Get Unlimited Answers To Exam Questions - Install Crowdly Extension Now!

Browser

Add to Chrome