logo

Crowdly

Browser

Add to Chrome

FAF.LFPC21.1 Limbaje Formale și Automate

Looking for FAF.LFPC21.1 Limbaje Formale și Automate test answers and solutions? Browse our comprehensive collection of verified answers for FAF.LFPC21.1 Limbaje Formale și Automate at else.fcim.utm.md.

Get instant access to accurate answers and detailed explanations for your course questions. Our community-driven platform helps students succeed!

∑={a,b,c,d}, w=aaa.

The length of w is:

0%
0%
0%
View this question

∑={a,b,c,d}, w=ε

The length of is:

View this question

A infinite sequence of symbols chosen from an alphabet is a string

0%
0%
View this question

The empty string e (or “epsilon”)  is the string with zero occurrences of symbols. 

100%
0%
View this question

  An alphabet is a finite, nonempty set of symbols.  

0%
0%
View this question

Choose the correct words that are generated by the given RE:

RE=(000)*1(10)*00

0%
0%
0%
0%
View this question

Choose the correct words that are generated by the given RE:

RE=a+ba*+bab

0%
0%
0%
0%
View this question

Choose the correct words that are generated by the given RE:

RE=0*(0+1)*11(11)*

0%
0%
0%
0%
View this question

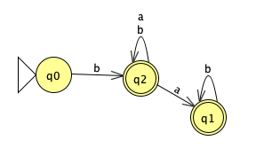
For the given FA, the regular expression is:

RE(FA) = b(a+b)*ab*

0%
0%
View this question

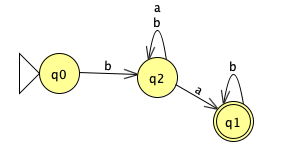
For the given FA, the regular expression is:

RE(FA) = b(a+b)*ab*

0%
100%
View this question

Want instant access to all verified answers on else.fcim.utm.md?

Get Unlimited Answers To Exam Questions - Install Crowdly Extension Now!

Browser

Add to Chrome