logo

Crowdly

Browser

Add to Chrome

Bendroji chemija

Looking for Bendroji chemija test answers and solutions? Browse our comprehensive collection of verified answers for Bendroji chemija at emokymai.vu.lt.

Get instant access to accurate answers and detailed explanations for your course questions. Our community-driven platform helps students succeed!

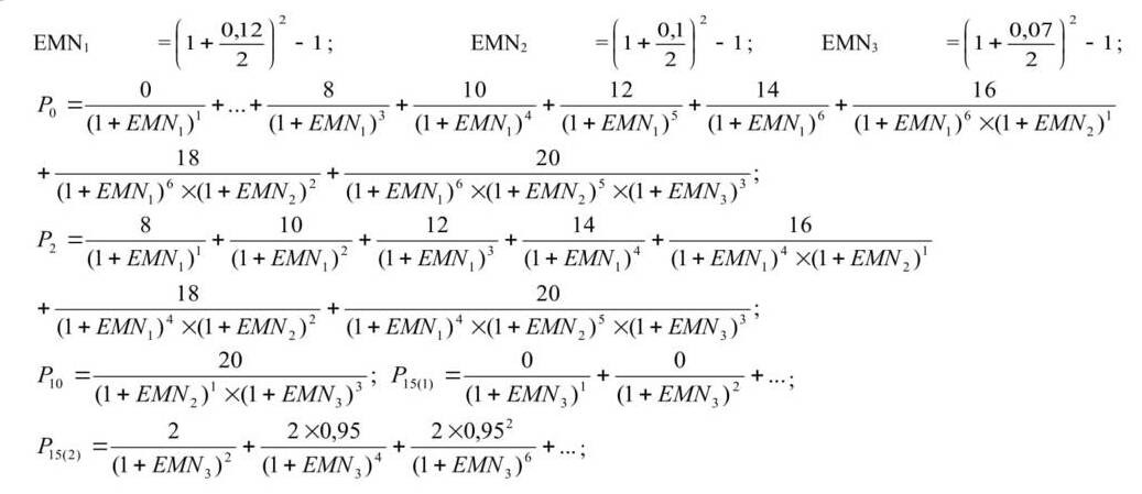
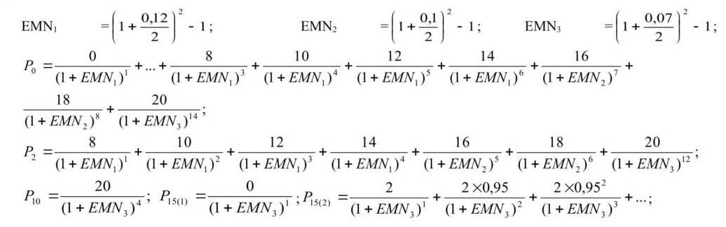
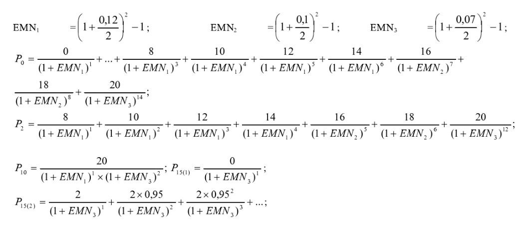
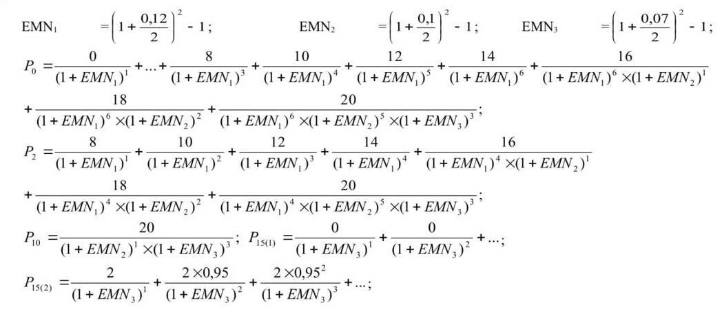
Kompanija šiuo

metu nemoka dividendų. Dividendai bus pradėti mokėti po 3 metų nuo dabar. Jie

bus lygūs 8 Eur. Po to dividendų augimas (kuris truks 5 metus) bus po 2 Eur

kasmet. Vėliau dividendai nebebus mokami niekada (t.y. D

9

jau bus

lygūs 0 Eur), išskyrus keturioliktų metų pabaigoje (D

14

bus lygūs 20

Eur). Jei skelbiama palūkanų norma pirmus šešis metus bus lygi 12%, vėliau

(t.y. po 6 metų nuo dabar) skelbiama palūkanų norma sumažės 2 p.p., o dar po 5

metų (t.y. po 11 metų nuo dabar) sumažės dar 3 p.p., tai kiek tokia akcija

verta dabar (P

0)? Kokia bus akcijos kaina po 2 metų (P2

)?

Kiek verta akcija po 10 metų (P

10)? Kiek verta akcija po 15 metų (P15(1)

)?

Tarkime, kad palūkanų norma priskaitoma kas pusmetį. O kokia būtų akcijos kaina

po 15 metų (P

15(2)

), jei pradedant septynioliktais metais dividendai

(kurie būtų lygūs 2 Eur, t.y. D

17

= 2 Eur) būtų mokami kas du metus

be galo ilgai, tačiau jie kas du metus mažėtų po 5% (D

17 =

2 Eur,

D

19 = 0,95D17 ir t.t.).

0%
0%
0%
100%
0%
0%
0%
0%
0%
0%
0%
View this question
View this question
View this question

Tam tikro baltymo molekulinė masė yra 6.56 · 104 Da. Apskaičiuokite, kokią masę gramais šio baltymo reikia ištirpinti 100.0 mL vandens, kad tirpalo osmosinis slėgis 25 ºC būtų 9.28 mmHg. 

Idealiųjų dujų konstanta R = 0.082057 L∙atm∙K-1∙mol-1. 1 atm = 760 mmHg, 0ºC = 273.15 K.

View this question

Fiziologiniu izotoniniu tirpalu medicinoje yra naudojamas 0.92% (masės dalis) NaCl tirpalas.

Apskaičiuokite, kokios procentinės sudėties (masės dalis) tirpalai turėtų būti, jeigu juose būtų naudojami:

a) MgCl2

b) gliukozė C6H12O6.

Paaiškinkite skirtumus.

View this question
View this question
View this question

Įvairios dujos, išskyrus helį, ištirpusios kraujyje gali sukelti į narkozę panašią būseną, kai yra stipriai paveikiamos žmogaus kognityvinės funkcijos. Atmosferiniame slėgyje šis reiškinys nėra reikšmingas, tačiau gali labai stipriai pasireikšti giliavandeniams nardytojams. Neriant į didesnį negu 30 m gylį slėgis pasidaro toks didelis, kad azotas, ištirpęs kraujyje jau stipriai paveikia smegenis. Taip pat staigiai kylant iš tokio gylio, kraujyje ištirpusios dujos dėl sumažėjusio slėgio staiga virsta dujine forma ir susidarę burbuliukai gali užkimšti kraujagysles, pažeisti audinius.

Apskaičiuokite azoto koncentraciją kraujyje mol/L 57 m gylyje, kai kvėpuojama oru. Nardytojo balione azoto tūrio dalis 78.08%. Laikykite, kad kraujyje azoto tirpumas yra toks pats, kaip vandenyje: KH = 6.10 ×10−4 mol/(L · atm). Slėgis tam tikrame gylyje h apskaičiuojamas pagal formulę? P = ρ · g · h. (Vandens tankis ρ = 1.00 g/cm3, laisvo kritimo pagreitis g = 9.81 m/s2, 1 atm = 101325 Pa). Skaičiuodami atidžiai rinkitės matavimo vienetus.

View this question

Trumpai paaiškinkite, kas yra aktyvacijos energija? Kas nulemia jos dydį ir kaip nuo jos priklauso reakcijų greitis?

Kaip galima sumažinti reakcijos aktyvacijos energiją?

View this question
View this question

Want instant access to all verified answers on emokymai.vu.lt?

Get Unlimited Answers To Exam Questions - Install Crowdly Extension Now!

Browser

Add to Chrome