logo

Crowdly

Browser

Add to Chrome

Clinical Genetics and Bioinformatics

Looking for Clinical Genetics and Bioinformatics test answers and solutions? Browse our comprehensive collection of verified answers for Clinical Genetics and Bioinformatics at emokymai.vu.lt.

Get instant access to accurate answers and detailed explanations for your course questions. Our community-driven platform helps students succeed!

What is characteristic of 22q11.2 deletion syndrome:

100%
0%
0%
0%
View this question

Deformation is:

0%
0%
0%
0%
View this question

Span/height ratio in adults is less than:

0%
0%
0%
0%
View this question

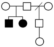
Назвіть один із способів успадкування:

100%
0%
0%
0%
View this question

Назвіть фенотипову ознаку області нижньої щелепи:

View this question
Яка частота носіїв хвороби в популяції, якщо певна хвороба зустрічається з показником 1 на 90 000?
0%
0%
0%
0%
View this question
Визначення фенотипу:
View this question
Агенезія 6 або більше зубів називається:
View this question

Name a mode of inheritance:

0%
0%
0%
0%
View this question
Feature that is not characteristic to imprinting mode of inheritance:
0%
0%
0%
0%
View this question

Want instant access to all verified answers on emokymai.vu.lt?

Get Unlimited Answers To Exam Questions - Install Crowdly Extension Now!

Browser

Add to Chrome