logo

Crowdly

Browser

Add to Chrome

Statistics and Data Science / Statistiek en Datawetenskap - 188

Looking for Statistics and Data Science / Statistiek en Datawetenskap - 188 test answers and solutions? Browse our comprehensive collection of verified answers for Statistics and Data Science / Statistiek en Datawetenskap - 188 at emslearn.sun.ac.za.

Get instant access to accurate answers and detailed explanations for your course questions. Our community-driven platform helps students succeed!

Die standaardfout van die gemiddeld vir ’n steekproef van n = 64 is 15. Om die standaardfout van die gemiddelde na 5 te verminder, moet ons / The standard error of the mean for a sample of n = 64 is 15. In order to decrease the standard error of the mean to 5, we would have to

0%
0%
0%
0%
View this question

ʼn Tydskrif beweer dat die gemiddelde bedrag deur damesstudente by ʼn haarsalon spandeer R438 per besoek is. Aanvaar dat die bedrae bestee per besoek normaal verdeel is met met ʼn populasiestandaardafwyking van R105. / A magazine stated that the average amount spent by female students at a hair salon is R438 per visit. Assume that the amounts spent per visit are distributed normally with a population standard deviation of R105.

 Die waarkynlikheid dat ʼn ewekansige steekproef van 24 besoeke aan ʼn haarsalon deur damesstudente ʼn gemiddelde bedrag groter as R455 lewer is / The probability that a random sample of 24 visits to a hair salon by female students will yield an average amount spent of more than R455 is

0%
0%
0%
0%
View this question

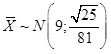
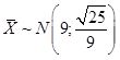
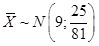
Beskou / Consider

X ~ N(μ = 9; σ² = 25)

ʼn Ewekansige steekproef van grootte n = 81 word uit hierdie populasie gekies. / A random sample of size n = 81 is selected from this population

Die verdeling van x̄ is / The distribution of   is

0%
0%
0%
0%
View this question

A professor of statistics assumes that the marks in his course are normally distributed. He did calculations and found that his morning classes average 73% with a standard deviation of 12% on their final exams. His afternoon classes average 77% with a standard deviation of 10%. What is the probability that the mean mark of a random sample of four students from a morning class is greater than the average mark of a random sample of four students from an afternoon class?

/

’n Professor in statistiek neem aan dat die punte vir sy kursus normaal verdeel is. Hy doen berekenings en vind dat sy oggendklasse ʼn gemiddeld van 73% met ʼn standaardafwyking van 12% vir hulle finale eksamen behaal het. Sy middagklasse het ʼn gemiddeld van 77% met ʼn standaardafwyking van 10% vir hulle finale eksamen behaal. Wat is die waarskynlikheid dat die gemiddelde punt van ʼn steekproef van vier ewekansige studente uit die oggendklasse hoër is as die gemiddelde punt van ʼn steekproef van vier ewekansige studente uit die middagklasse?

0%
0%
100%
0%
0%
View this question

Dis gegee dat X normaal verdeel is met gemiddelde μ = 0 en variansie σ² = 15. ’n Ewekansige steekproef van grootte n = 64 word uit hierdie populasie gekies. Dus is P(-1.5 ≤ x̄ ≤ 0.5)  gelyk aan / It is given that X is normally distributed with mean μ = 0  and variance σ² = 15. A random sample of size n = 64 is selected from this population. Therefore P(-1.5 ≤ x̄ ≤ 0.5) is equal to

100%
0%
0%
0%
View this question

Beskou twee ewekansige steekproewe uit dieselfde populasie. Die twee steekproef-gemiddeldes is x̄1 en 2, gebaseer op steekproefgroottes n1 en n2 onderskeidelik, met n1 > n2. Kies die korrekte opsie. / Consider two random samples from the same population. The two sample means are 1 and 2, based on sample sizes n1 and n2, respectively, with n1 > n2.  Choose the correct option.

0%
0%
0%
0%
View this question

Die bestuurder van ʼn supermark bestudeer die hoeveelheid tyd wat nodig is vir ʼn klant om deur ʼn kassier gehelp te word. Hy bepaal dat die tyd wat klante by die betaalpunte spandeer eksponensiaal verdeel is met ʼn gemiddelde van ses minute. Die proporsie van klante wat meer as tien minute benodig om te betaal, is / The manager of a supermarket tracked the amount of time needed for customers to be served by the cashier. He determined that the checkout times are exponentially distributed with a mean of six minutes. The proportion of customers who require more than ten minutes to check out, is

0%
0%
0%
0%
0%
View this question

Dit word gegee dat X normaal verdeel is met gemiddeld μ = 47.3  en variansie σ² = 36. / It is given that X is normally distributed with mean μ = 47.3 and variance σ² = 36.

Die waarde van  wat so is dat 70% van alle -waardes groter as dit is, is / The value of  that is such that 70% of all -values is larger than it, is

0%
0%
0%
0%
0%
View this question

Dit word gegee dat X normaal verdeel is met gemiddeld μ = 27.7  en variansie σ² = 25. / It is given that X is normally distributed with mean μ = 27.7 and variance σ² = 25.

Die mediaan van X is / The median of X is

0%
0%
100%
0%
0%
View this question

Die aankomstyd tussen opeenvolgende motors by ’n spesifieke kruising volg ’n eksponensiaalverdeling met ’n gemiddeld van twaalf sekondes. / The time between arrivals of two consecutive vehicles at a particular intersection follows an exponential distribution with a mean of twelve seconds. 

Bereken die variansie van die aankomstyd tussen twee opeenvolgende motors. / Calculate the variance of the arrival time between two consecutive vehicles.

0%
0%
100%
0%
0%
View this question

Want instant access to all verified answers on emslearn.sun.ac.za?

Get Unlimited Answers To Exam Questions - Install Crowdly Extension Now!

Browser

Add to Chrome