logo

Crowdly

Browser

Add to Chrome

Алгебра 11

Looking for Алгебра 11 test answers and solutions? Browse our comprehensive collection of verified answers for Алгебра 11 at eschool.dn.ua.

Get instant access to accurate answers and detailed explanations for your course questions. Our community-driven platform helps students succeed!

50%
50%
0%
0%
View this question

View this question

View this question

0%
0%
0%
0%
0%
View this question

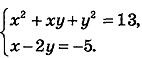
  Розв'яжіть систему рівнянь           і у відповіді вкажіть суму цілих компонентів розв'язку (х+у)

View this question

View this question

View this question

0%
0%
0%
0%
View this question

0%
0%
0%
0%
View this question

View this question

Want instant access to all verified answers on eschool.dn.ua?

Get Unlimited Answers To Exam Questions - Install Crowdly Extension Now!

Browser

Add to Chrome