logo

Crowdly

Browser

Add to Chrome

Металеві конструкції

Looking for Металеві конструкції test answers and solutions? Browse our comprehensive collection of verified answers for Металеві конструкції at exam.nuwm.edu.ua.

Get instant access to accurate answers and detailed explanations for your course questions. Our community-driven platform helps students succeed!

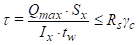
Площа опорної плити бази колони визначається,:

0%
0%
0%
0%
50%
View this question

Умовна гнучкість:

0%
0%
0%
0%
0%
View this question

Розрахунок кутових швів виконується за розрахунковими перерізами:

View this question

Залежно від того, наскільки великі зусилля діють в стержнях, ферми поділяють:

0%
0%
0%
0%
0%
View this question

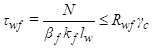
Визначити мінімальну несучу здатність кутового зварного шва розрахунковою площею Аw = 20см2. Розрахунковий опір кутового шва зрізу Rwf = 180 MПа, коефіцієнт умов роботи = 1:

0%
0%
0%
0%
0%
View this question

Умовна поперечна сила при розрахунку планок:

0%
0%
0%
0%
0%
View this question

Переріз колони підбирають, виходячи з умови стійкості:

0%
0%
33%
0%
0%
View this question

При розрахунках конструкцій за IІ групою граничних станів використовують:

0%
0%
0%
0%
0%
View this question

Розрахунок зварних швів, які прикріплюють планки до віток колони:

0%
0%
0%
0%
33%
View this question

Коефіцієнт надійності в розрахунках за тимчасовим опором:

0%
0%
0%
0%
0%
View this question

Want instant access to all verified answers on exam.nuwm.edu.ua?

Get Unlimited Answers To Exam Questions - Install Crowdly Extension Now!

Browser

Add to Chrome