logo

Crowdly

Browser

Add to Chrome

Фізика

Looking for Фізика test answers and solutions? Browse our comprehensive collection of verified answers for Фізика at exam.nuwm.edu.ua.

Get instant access to accurate answers and detailed explanations for your course questions. Our community-driven platform helps students succeed!

Вказати в чому полягає ефект Комптона:

View this question

В яких одиницях вимірюють оптичну силу?

View this question

Ядра хімічних елементів прийнято позначати , де А носить назву

View this question

Який із виразів відповідає періоду коливань коливного контура?

View this question

Величина у формулі це?

View this question

Маса m та енергія Е фотона зв’язані між собою співвідношенням:

View this question

Диференціальне рівняння згасаючих коливань має вигляд . Вкажіть чому дорівнює коефіцієнт згасання ?

View this question

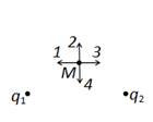
Електричне поле в точці М створене двома точковими зарядами (див. рис.). Вкажіть напрям вектора напруженості результуючого поля, якщо

,

.

0%
0%
0%
0%
View this question

За означенням сила струму

0%
0%
0%
0%
View this question

Траєкторія – це:

View this question

Want instant access to all verified answers on exam.nuwm.edu.ua?

Get Unlimited Answers To Exam Questions - Install Crowdly Extension Now!

Browser

Add to Chrome