logo

Crowdly

Browser

Add to Chrome

Вступ до спеціальності

Looking for Вступ до спеціальності test answers and solutions? Browse our comprehensive collection of verified answers for Вступ до спеціальності at exam.nuwm.edu.ua.

Get instant access to accurate answers and detailed explanations for your course questions. Our community-driven platform helps students succeed!

Обслуговування, ремонт та налагодження вузлів та блоків ЕОМ слід виконувати:

View this question

Вкажіть призначення регістра TL1 мікроконтролера MCS - 51

View this question

Вкажіть сутність операції CLR А мікроконтролера MCS – 51

0%
0%
0%
0%
0%
View this question

Вкажіть сутність операції MOV A, ad мікроконтролера MCS – 51

0%
0%
0%
0%
0%
View this question

Вкажіть призначення команди MOVX @Ri, A мікропроцесора MCS-51

View this question

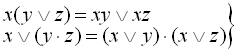
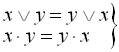
Вказати аналітичний запис законів дистрибутивності

View this question

Вкажіть призначення команди SUBB A, Rn мікропроцесора MCS-51.

0%
0%
0%
0%
0%
View this question

Вказати призначення біту RS1 регістра PSW, що зберігає слово стану процесора

View this question

Вкажіть призначення регістра TCON мікроконтролера MCS - 51

View this question

Вкажіть призначення команди ADD A, Rn мікропроцесора MCS-51.

0%
0%
0%
0%
0%
View this question

Want instant access to all verified answers on exam.nuwm.edu.ua?

Get Unlimited Answers To Exam Questions - Install Crowdly Extension Now!

Browser

Add to Chrome