logo

Crowdly

Browser

Add to Chrome

Основи Big Data

Looking for Основи Big Data test answers and solutions? Browse our comprehensive collection of verified answers for Основи Big Data at exam.nuwm.edu.ua.

Get instant access to accurate answers and detailed explanations for your course questions. Our community-driven platform helps students succeed!

Python-бібліотеки, які використовуються безпосередньо для візуалізації даних:

0%
0%
0%
0%
0%
View this question

На графіку boxplot під номером 3 позначено …

0%
0%
0%
0%
0%
View this question

Сучасні інструменти аналізу великих даних можуть обробляти:

View this question

Інтервальність пунктів вимірювальної шкали означає, що ...

0%
0%
0%
0%
0%
View this question

На тепловій карті світлі відтінки представляють ...

0%
0%
0%
0%
View this question

Якщо мінімальне і максимальне значення розподілені від 4 до 16, а мода рівна 12, то робимо висновок, що ...

0%
0%
0%
0%
0%
View this question

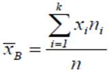
Величину, яка визначається співвідношенням, називають …

View this question

Функція обчислення коефіцієнта асиметрії належить до Python-бібліотеки ...

View this question

У Python побудувати гістограму можна за допомогою функції ...

View this question

Візуальні елементи звіту включають:

0%
0%
0%
0%
0%
View this question

Want instant access to all verified answers on exam.nuwm.edu.ua?

Get Unlimited Answers To Exam Questions - Install Crowdly Extension Now!

Browser

Add to Chrome