logo

Crowdly

Browser

Add to Chrome

Material Teknik D (Gasal TA 2025/2026)

Looking for Material Teknik D (Gasal TA 2025/2026) test answers and solutions? Browse our comprehensive collection of verified answers for Material Teknik D (Gasal TA 2025/2026) at kuliah.uajy.ac.id.

Get instant access to accurate answers and detailed explanations for your course questions. Our community-driven platform helps students succeed!

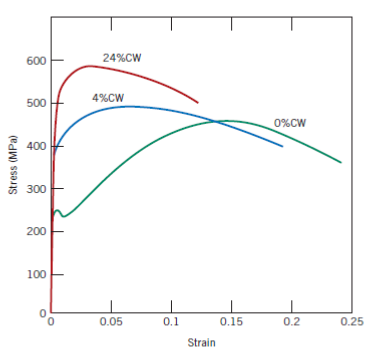
Dari gambar uji tarik baja karbon rendah berikut..

Nilai ductilty untuk baja karbon sudah di deformasi 4% adalah ...

0%
0%
0%
0%
0%
View this question

Suatu komposit

berukuran 1,25 x 20 x 200 cm

terdiri dari epoxy yang diperkuat dengan serat karbon. Isi serat karbon pada

komposit

adalah 40%. Massa jenis epoxy dan serat karbon masing-masing adalah

1,2 g/cm

3 dan 1,78 g/cm3

. Grafik tegangan-regangan

menunjukkan modulus elastisitas untuk epoxy dan serat karbon masing-masing

adalah 230 GPa dan 2,41 GPa. Berapakah massa serat karbon pada

komposit?

0%
0%
0%
0%
View this question

Dari informasi pada gambar dapat disimpulkan ___
0%
0%
0%
0%
0%
0%
0%
View this question

Dari informasi pada gambar/tabel, dapat disimpulkan ___
0%
0%
0%
0%
0%
0%
0%
View this question
Jika Cesium memiliki massa jenis 1,80 g/cm3 dan berat atom 132,81 g/mol, maka jari-jari atomnya ____ nm
0%
0%
0%
0%
0%
0%
0%
View this question

Semakin besar ukuran dan porsi partikel penguat,

peran matriks sebagai penahan beban semakin kecil.

0%
0%
View this question

Dari informasi pada gambar dapat disimpulkan ___
0%
0%
0%
0%
0%
0%
0%
View this question

Dari informasi pada gambar dapat disimpulkan ___
0%
0%
0%
0%
0%
0%
0%
View this question

Dari informasi gambar dapat disimpulkan hal-hal berikut ini, KECUALI:

0%
0%
0%
0%
0%
0%
View this question

Ketangguhan material ditunjukkan oleh area di bawah kurva:

0%
0%
0%
0%
View this question

Want instant access to all verified answers on kuliah.uajy.ac.id?

Get Unlimited Answers To Exam Questions - Install Crowdly Extension Now!

Browser

Add to Chrome