logo

Crowdly

Browser

Add to Chrome

ENCN205-25S2 - Applied Data Analysis for Civil and Natural Systems

Looking for ENCN205-25S2 - Applied Data Analysis for Civil and Natural Systems test answers and solutions? Browse our comprehensive collection of verified answers for ENCN205-25S2 - Applied Data Analysis for Civil and Natural Systems at learn.canterbury.ac.nz.

Get instant access to accurate answers and detailed explanations for your course questions. Our community-driven platform helps students succeed!

View this question
View this question
View this question
View this question

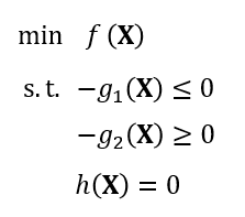
(b) Transfrom this following optimisation problem into standard format

0%
0%
100%
0%
View this question

Part A, Question 2:

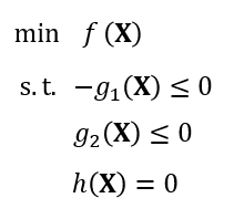
(a) Transfrom this following optimisation problem into standard format

0%
0%
0%
0%
View this question

Part A, Question 1: 

Which of the following nonlinear optimisation problem follows the standard format

View this question
View this question
View this question
View this question

Want instant access to all verified answers on learn.canterbury.ac.nz?

Get Unlimited Answers To Exam Questions - Install Crowdly Extension Now!

Browser

Add to Chrome