logo

Crowdly

Browser

Add to Chrome

ENCN205-25S2 - Applied Data Analysis for Civil and Natural Systems

Looking for ENCN205-25S2 - Applied Data Analysis for Civil and Natural Systems test answers and solutions? Browse our comprehensive collection of verified answers for ENCN205-25S2 - Applied Data Analysis for Civil and Natural Systems at learn.canterbury.ac.nz.

Get instant access to accurate answers and detailed explanations for your course questions. Our community-driven platform helps students succeed!

Part A, Question 3

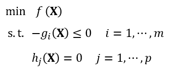
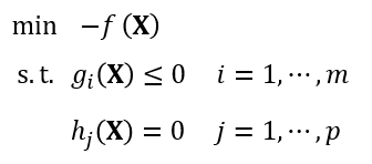
(a) Transfrom this following optimisation problem into standard format

View this question

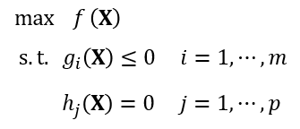
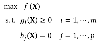
(b) Transfrom this following optimisation problem into standard format

0%
100%
0%
View this question

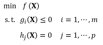
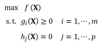
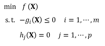
Part A, Question 2: 

Which of the following linear programming format

follows the standard format

100%
100%
0%
0%
View this question
View this question
View this question

Question 3: Please attach a single PDF file which includes the following figures:

(a) Task 1: Probability density function of the delay (in days) of the construction

project (bins = 50).

(b) Task 2: Probability density function of the 95% confidence interval of k estimated from 1st dataset (bins = 50). 

(c) Task 2: Probability density function of the 95% confidence interval of k estimated from 2nd dataset (bins = 50). 

Note: present figures in order and label figures with titles/captions. Appropriate labels and legend (if needed) should be presented.

View this question
View this question
View this question
View this question
View this question

Want instant access to all verified answers on learn.canterbury.ac.nz?

Get Unlimited Answers To Exam Questions - Install Crowdly Extension Now!

Browser

Add to Chrome