logo

Crowdly

Browser

Add to Chrome

CMPT 380 A - Artificial Intelligence (FA 2025)

Looking for CMPT 380 A - Artificial Intelligence (FA 2025) test answers and solutions? Browse our comprehensive collection of verified answers for CMPT 380 A - Artificial Intelligence (FA 2025) at learn.twu.ca.

Get instant access to accurate answers and detailed explanations for your course questions. Our community-driven platform helps students succeed!

What should be in the blanks in the following algorithms?

Quiz Item

View this question

How can you solve partially observable problems?

View this question

What local search algorithm is described by the following?

  • The best move is not chosen instead a random one is chosen.
  • If the move actually results better, it is always executed.
  • Otherwise, the algorithm takes the move with a probability of less than 1.

View this question

The robot can sense (observe) its surrounding walls, whether there is a wall in the north (N), south (S), east (E), or west (W). 

At the current position, the robot observed that there were walls in NSW. Thus, the possible current position of the robot might be one of the following positions (1, 2, 3, or 4):

After moving to the east, the robot observed that there were walls in NS. What is the position of the robot?

View this question

What search algorithm is described by the following?

quiz item

View this question

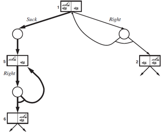
The following diagram shows part of the search graph for the slippery vacuum world. What kind of problem is this? (Choose the best answer.)

View this question

Which is NOT true about on-line search in Chapter 4? 

View this question

The following diagram shows the four iterations of Learning Real Time A* (LRTA*) on a one-dimensional state space. Each state is labeled with H(s), the current cost estimate to reach a goal, and every link has an action cost of 1. The red state marks the location of the agent, and the updated cost estimates at each iteration have a double circle. What will be the agent's move in the next iteration?

View this question

Which one of the following diagrams describes the searching with no observation in nondeterministic (slippery) environments?

[(A or B), (Clean or Dirty)] indicates a percept. [(Room A or B), (Room status: Clean or Dirty)]

quiz item

View this question

If an agent's percepts provide no information at all (a sensorless or conformant problem), what is the solution to the following vacuum world problem?

The initial state could be any state {1, 2, 3, 4, 5, 6, 7, 8}.

View this question

Want instant access to all verified answers on learn.twu.ca?

Get Unlimited Answers To Exam Questions - Install Crowdly Extension Now!

Browser

Add to Chrome