logo

Crowdly

Browser

Add to Chrome

Основи мови Go

Looking for Основи мови Go test answers and solutions? Browse our comprehensive collection of verified answers for Основи мови Go at learn.ztu.edu.ua.

Get instant access to accurate answers and detailed explanations for your course questions. Our community-driven platform helps students succeed!

Що буде виведено на екран монітору у результаті виконання наступного коду на мові Go:

str := "012345678900"

a := []rune(str)

var b int

for ; b < len(a); b += 3 {

 fmt.Printf("%c", a[b])

}

0%
0%
0%
100%
0%
View this question

Що буде виведено на екран монітору у результаті виконання наступного коду на мові Go:

var i int

var f float64

var b bool

var s string

fmt.Printf("%v, %v, %v, %T\n", i, f, b, s)

0%
0%
100%
0%
0%
View this question
Яка з нижче перерахованих операцій є унарною у мові Go?
0%
0%
0%
100%
0%
View this question
Яким буде значення змінної value у виразі value := 9/2+9%4 на мові Go?
0%
0%
0%
0%
100%
View this question
Яким буде значення змінної value у виразі var value uint8 = (^(0x37 << 2) ^ 0x7A) & 0xFF на мові Go?
25%
0%
0%
75%
0%
View this question
Як позначається в мові Go операція побітового зсуву на 1 розряд вліво?
100%
0%
0%
0%
0%
View this question

Що буде виведено на екран монітору у результаті виконання наступного коду на мові Go:

var i int

var f float64

var b bool

var s string

fmt.Printf("%v, %f, %v, %s\n", i, f, b, s)

0%
0%
100%
0%
0%
View this question

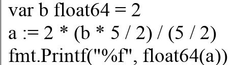
Яке значення буде виведено на екрані монітору у нижче згаданому коді на мові Go?

0%
67%
0%
33%
0%
View this question

Що з наступного вірно щодо нижче згаданого коду на мові Go?

package main

import ( "fmt" "math/rand" )

func main() {

 var result

 int32 = rand.Int31n(20)

 fmt.Println(result)

}

0%
33%
67%
0%
0%
View this question
Який з типів даних відсутній у мові Go?
0%
0%
0%
0%
0%
View this question

Want instant access to all verified answers on learn.ztu.edu.ua?

Get Unlimited Answers To Exam Questions - Install Crowdly Extension Now!

Browser

Add to Chrome