logo

Crowdly

Browser

Add to Chrome

AI Algorithms (MESIIN476025)

Looking for AI Algorithms (MESIIN476025) test answers and solutions? Browse our comprehensive collection of verified answers for AI Algorithms (MESIIN476025) at learning.devinci.fr.

Get instant access to accurate answers and detailed explanations for your course questions. Our community-driven platform helps students succeed!

In the following plot, identify a starting point which would lead to a suboptimal solution (local maximum), if we used Hill Climbing.

.

50%
100%
0%
0%
50%
50%
50%
View this question

Suppose you do simulated annealing and lower the temperature parameter very quickly.

Will you find the optimal solution?

0%
0%
View this question
Which of the following search algorithms return the optimal path if all costs are a fixed value ? Mark all that apply.

0%
100%
100%
67%
View this question

Consider the state space graph below. Goal states are those colored in green. Nodes are expanded from left to right when there are ties. What solution path is returned by BFS?

.

0%
0%
0%
0%
View this question
A* graph search is guaranteed to return an optimal solution if:
0%
100%
0%
0%
View this question

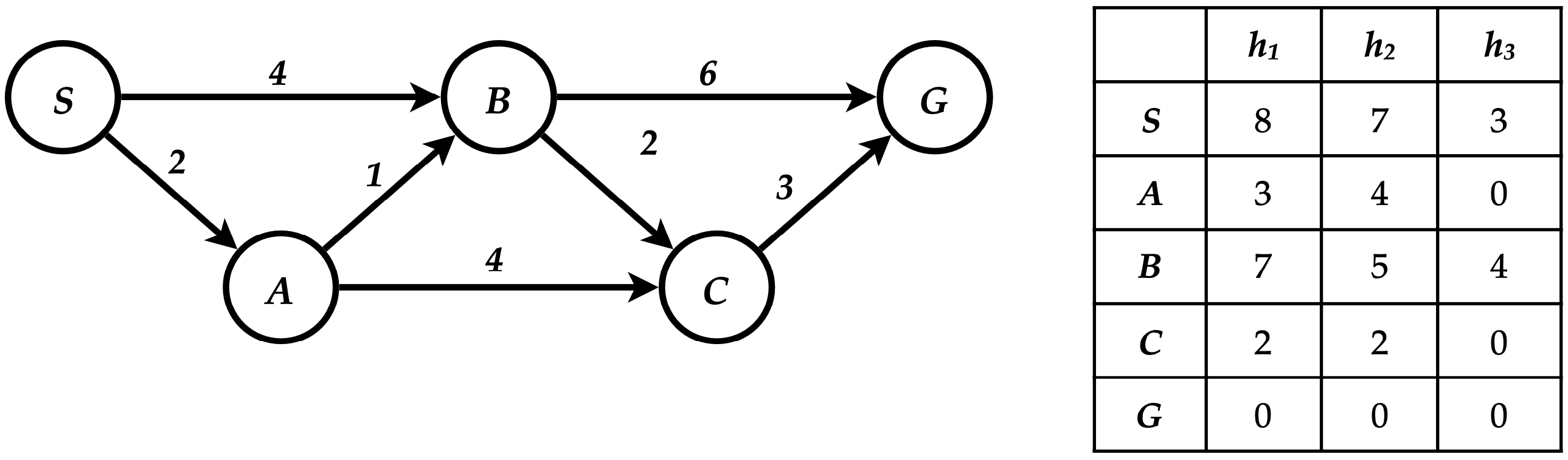
The following search problem has five states, and seven directed edges.

is the start node

and

is the goal node. To the right, three different heuristic functions are defined, , and .

.

Which heuristics is not admissible?

0%
0%
0%
0%
View this question
In the following plot, identify a starting point which would lead to a suboptimal solution (local maximum), if we used Hill Climbing.

.

0%
0%
0%
0%
0%
0%
0%
View this question
In the following plot, identify a starting point which would lead to a suboptimal solution (local maximum), if we used Hill Climbing.

.

0%
100%
0%
0%
0%
0%
0%
View this question
In the following plot, identify a starting point which would lead to a suboptimal solution (local maximum), if we used Hill Climbing.

.

0%
0%
100%
100%
100%
0%
0%
View this question
In the following plot, identify a starting point which would lead to a suboptimal solution (local maximum), if we used Hill Climbing.

.

100%
100%
100%
0%
100%
0%
100%
View this question

Want instant access to all verified answers on learning.devinci.fr?

Get Unlimited Answers To Exam Questions - Install Crowdly Extension Now!

Browser

Add to Chrome