logo

Crowdly

Browser

Add to Chrome

STA1010 - Statistical methods for science - S2 2025

Looking for STA1010 - Statistical methods for science - S2 2025 test answers and solutions? Browse our comprehensive collection of verified answers for STA1010 - Statistical methods for science - S2 2025 at learning.monash.edu.

Get instant access to accurate answers and detailed explanations for your course questions. Our community-driven platform helps students succeed!

View this question

Classify the variable as categorical or quantitative.

A person's height in feet.

0%
0%
View this question

Two dice were rolled and the sum of the two numbers was recorded. This procedure was repeated 400 times. The results are shown in the relative frequency histogram.

Which of the following statements best describes the shape, center, spread, and unusual features of this distribution?

0%
0%
0%
0%
0%
View this question

According to a measuring device, the  median weight of 20 scallops caught in the bay was 25.4  grams. Unfortunately the measuring device had not been calibrated correctly, and 0.5 grams had to be added to each measured weight to give the correct weight. The median correct weight, correct to one decimal place, in grams, is

View this question

Either by hand, MS Excel or using the special function on your calculator, calculate the standard deviation of the following set of numbers:

27     21     28     23     24     29     30

Give your answer correct to one decimal place.

View this question

Either by hand, MS Excel or using the special function on your calculator, calculate the standard deviation of the following set of numbers:

27     41     38     31     29     39

Give your answer correct to one decimal place.

View this question

Either by hand or using the special function on your calculator, calculate the mean of the following set of numbers:

16     23     31     42     59     63     69     65

Give your answer correct to one decimal place.

View this question

Do men and women run a 5 kilometer race at the same pace? Here are boxplots of the time (in minutes) for a race recently run in Geelong.

Which of the following statements best describes the comparison of men and women runners in this race?

50%
0%
0%
50%
0%
View this question

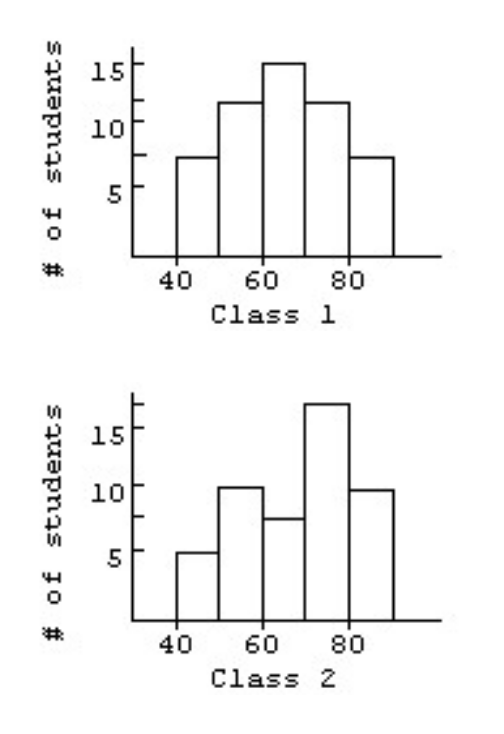
Two statistics classes (50 students each) took the same test. Shown below are histograms of the scores for the classes. Use the histograms to answer the question.

Which class had the higher median score?

0%
0%
0%
View this question

Classify the variable as categorical or quantitative.

The number of people on a jury.

100%
0%
View this question

Want instant access to all verified answers on learning.monash.edu?

Get Unlimited Answers To Exam Questions - Install Crowdly Extension Now!

Browser

Add to Chrome