logo

Crowdly

Browser

Add to Chrome

Technologijų fizikiniai pagrindai (253 būrys)

Looking for Technologijų fizikiniai pagrindai (253 būrys) test answers and solutions? Browse our comprehensive collection of verified answers for Technologijų fizikiniai pagrindai (253 būrys) at lka.vma.liedm.lt.

Get instant access to accurate answers and detailed explanations for your course questions. Our community-driven platform helps students succeed!

Absoliučiai kietojo kūno inercijos momentas yra:

0%
100%
0%
0%
View this question

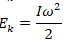
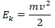
Kuri

formulė išreiškia besisukančio kūno kinetinę energiją?

100%
0%
0%
0%
View this question

Vidutiniu greičiu vadinama:

0%
100%
0%
0%
View this question

Kurio vyksmo (proceso) metu dujos neatlieka darbo?

0%
0%
0%
0%
View this question

Kada kūno svoris lygus jo sunkiui?

0%
0%
0%
0%
View this question

Kuris iš šių fizikinių dydžių nėra vektorinis dydis?

0%
0%
0%
0%
View this question

Ką apibūdina svyravimo fazė? 

0%
0%
0%
0%
View this question

Kokios rūšies gitaros stygos deformacija skambinant ja?

0%
0%
0%
0%
View this question

Nubrėžti dviejų svyravimų grafikai. Kuo skiriasi šie

svyravimai? 

0%
0%
0%
0%
View this question

Kūnas juda apskritimu pastovaus modulio greičiu. Kokia pagreičio kryptis?

0%
0%
0%
0%
View this question

Want instant access to all verified answers on lka.vma.liedm.lt?

Get Unlimited Answers To Exam Questions - Install Crowdly Extension Now!

Browser

Add to Chrome