logo

Crowdly

Browser

Add to Chrome

UCB - MCD4490 Advanced Mathematics - Trimester 1 - 2025

Looking for UCB - MCD4490 Advanced Mathematics - Trimester 1 - 2025 test answers and solutions? Browse our comprehensive collection of verified answers for UCB - MCD4490 Advanced Mathematics - Trimester 1 - 2025 at lms.monashcollege.edu.au.

Get instant access to accurate answers and detailed explanations for your course questions. Our community-driven platform helps students succeed!

0%
0%
0%
0%
0%
View this question

0%
0%
0%
0%
100%
View this question

100%
0%
0%
0%
0%
View this question

100%
0%
0%
0%
0%
View this question

0%
0%
100%
0%
0%
View this question

0%
0%
0%
0%
0%
View this question

0%
0%
0%
0%
0%
View this question

0%
0%
0%
0%
0%
View this question

0%
100%
0%
0%
0%
View this question

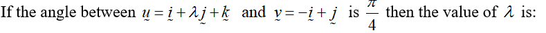
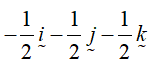
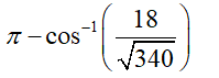
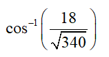
A force Newton acts on an object towards vectors where the position vectors of and are and  resepectively. The vector representation of the force is

View this question

Want instant access to all verified answers on lms.monashcollege.edu.au?

Get Unlimited Answers To Exam Questions - Install Crowdly Extension Now!

Browser

Add to Chrome