logo

Crowdly

Browser

Add to Chrome

UCB - MCD4550 - Engineering Numerical Analysis - Trimester 2 - 2025

Looking for UCB - MCD4550 - Engineering Numerical Analysis - Trimester 2 - 2025 test answers and solutions? Browse our comprehensive collection of verified answers for UCB - MCD4550 - Engineering Numerical Analysis - Trimester 2 - 2025 at lms.monashcollege.edu.au.

Get instant access to accurate answers and detailed explanations for your course questions. Our community-driven platform helps students succeed!

The global truncation error for the midpoint’s method scales with?

0%
0%
0%
0%
View this question

Which of the following is an in-built MATLAB function for solving ODEs?

View this question

Which of the following is a predictor-corrector step method that uses Euler’s method as a predictor step with a full step size?

0%
0%
0%
0%
View this question

Calculate y(0.6) value for the following ODE using Heun’s method given y(0)=0 and h=0.3?

 

0%
0%
0%
0%
View this question

What is the value of dy/dx at x = 0.4 for the following ODE using Heun's method given y(0)=0 and h=0.2?

0%
0%
0%
0%
View this question

The global truncation error for Heun’s method scales with?

View this question

The value of y(0.9) using Euler's method for the given ODE for a step size of h=0.3 is approximately

View this question

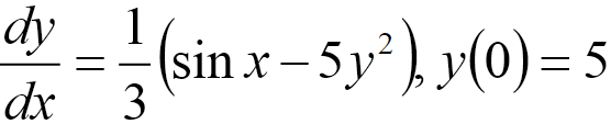
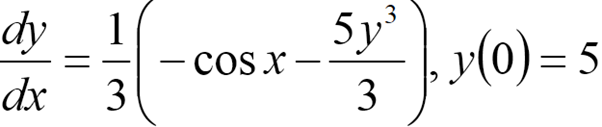
To solve the following ODE by Euler's method, you need to rewrite the equation as

0%
0%
0%
0%
View this question

The global truncation error for Euler’s method scales with?

0%
0%
0%
0%
View this question

Scenario 1: You integrate the function f(x) from 20 to 70 using 201 points and the composite

trapezoidal method and then repeat the integration with 1001 points in order to reduce the

global truncation error.

Scenario 2: You integrate the same function f(x) from 0 to 120 using 201 points and the

composite Simpson’s 1/3 method. If you repeat this integration but with a different number of

points, what is the minimum number of points would you need to get at least the same relative

reduction in global truncation error as in the first scenario?

View this question

Want instant access to all verified answers on lms.monashcollege.edu.au?

Get Unlimited Answers To Exam Questions - Install Crowdly Extension Now!

Browser

Add to Chrome