logo

Crowdly

Browser

Add to Chrome

Matematika XII TKJ 1,2&3, XII ANM 1,2&3, XII RPL 4, XII PSPT 1&2, XII TEI

Looking for Matematika XII TKJ 1,2&3, XII ANM 1,2&3, XII RPL 4, XII PSPT 1&2, XII TEI test answers and solutions? Browse our comprehensive collection of verified answers for Matematika XII TKJ 1,2&3, XII ANM 1,2&3, XII RPL 4, XII PSPT 1&2, XII TEI at lms.smktarunabhakti.sch.id.

Get instant access to accurate answers and detailed explanations for your course questions. Our community-driven platform helps students succeed!

Tentukan hasil fungsi turunan berikut :

f(x) = 5xmc018-1.jpg - 3xmc018-2.jpg + x
0%
0%
0%
0%
0%
View this question
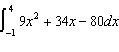
Tentukan hasil dari : mc032-1.jpg
100%
0%
0%
0%
0%
View this question
Tentukan hasil dari : mc031-1.jpg
0%
0%
0%
0%
0%
View this question
Tentukan hasil fungsi turunan berikut :

f(x) = 3xmc017-1.jpg - 7x
0%
0%
50%
0%
50%
View this question
Tentukan hasil fungsi turunan berikut :

f(x) = mc023-1.jpg
0%
0%
0%
0%
0%
View this question
Tentukan Nilai Limit dari :

mc010-1.jpg
0%
50%
0%
50%
0%
View this question
Tentukan hasil fungsi turunan berikut :

f(x) = 4tmc016-1.jpg - 5tmc016-2.jpg + 6t - 1
0%
0%
50%
0%
50%
View this question
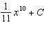
Tentukan hasil dari : mc026-1.jpg
0%
0%
0%
0%
100%
View this question
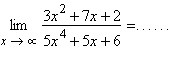
Tentukan Nilai Limit dari :

mc011-1.jpg
0%
0%
0%
0%
0%
View this question
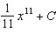
Tentukan hasil dari : mc030-1.jpg
0%
0%
0%
0%
100%
View this question

Want instant access to all verified answers on lms.smktarunabhakti.sch.id?

Get Unlimited Answers To Exam Questions - Install Crowdly Extension Now!

Browser

Add to Chrome