logo

Crowdly

Browser

Add to Chrome

Экономико-математические методы и модели

Looking for Экономико-математические методы и модели test answers and solutions? Browse our comprehensive collection of verified answers for Экономико-математические методы и модели at lms.surgu.ru.

Get instant access to accurate answers and detailed explanations for your course questions. Our community-driven platform helps students succeed!

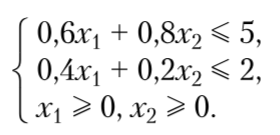
Имеется функция:

при следующих ограничениях:

Определить значение максимум функции.

View this question

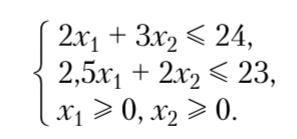
Математическая модель выглядит следующим образом:

при следующих ограничениях:

Графически задача была решена следующим образом:

Чему равен максимум функции? 

0%
0%
0%
100%
View this question

Рассмотрите график решения варианта задачи линейного программирования.

Верно ли следующее утверждение? Данная функция имеет область решений.

0%
100%
View this question

С каждой задачей линейного программирования тесно связана другая задача, называемая...

View this question

Какой знак используется в системе ограничений в стандартной форме задачи линейного программирования (кроме ограничений, связанных с неотрицательностью переменных)?

0%
0%
0%
0%
View this question

Математическая модель выглядит следующим образом:

при следующих ограничениях:

Графически задача была решена следующим образом:

Чему равен максимум функции? 

View this question

Имеется функция:

при следующих ограничениях:

Определить значение максимум функции.

View this question

Рассмотрите график решения варианта задачи линейного программирования.

Верно ли следующее утверждение? Данная функция имеет область решений.

0%
100%
View this question

Симплекс-метод предназначен для решения задач линейного программирования в…

0%
0%
0%
0%
View this question

Решением ЗЛП на max является точка…

Image failed to load

View this question

Want instant access to all verified answers on lms.surgu.ru?

Get Unlimited Answers To Exam Questions - Install Crowdly Extension Now!

Browser

Add to Chrome