logo

Crowdly

Browser

Add to Chrome

SPEC101 - ECUE CHIMIE : Structure et représentation de la matière

Looking for SPEC101 - ECUE CHIMIE : Structure et représentation de la matière test answers and solutions? Browse our comprehensive collection of verified answers for SPEC101 - ECUE CHIMIE : Structure et représentation de la matière at lms.univ-cotedazur.fr.

Get instant access to accurate answers and detailed explanations for your course questions. Our community-driven platform helps students succeed!

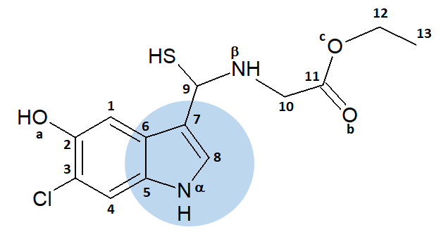
Cochez les propositions exactes concernant les atomes qui appartiennent à un même plan (4 réponses justes, les réponses fausses font perdre des points) :

0%
0%
0%
0%
0%
0%
0%
0%
0%
0%
View this question

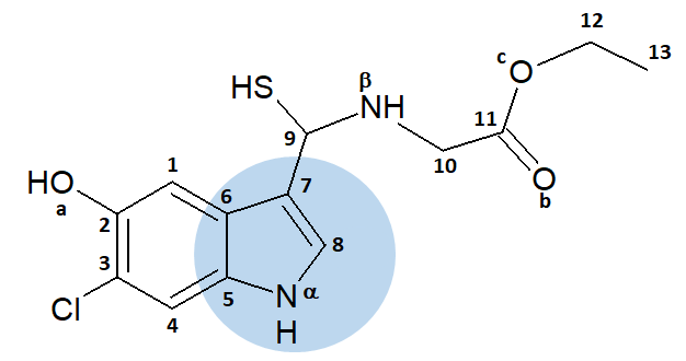
Quel schéma de liaison est adapté à la zone encadrée?

0%
0%
0%
0%
View this question

Cochez les propositions exactes concernant les atomes qui appartiennent à un même plan (4 réponses justes, les réponses fausses font perdre des points) :

0%
0%
0%
0%
0%
0%
0%
0%
0%
0%
View this question

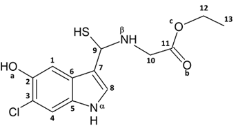
Donnez le nombre total d'électrons participant à ce(s) système(s) π délocalisé(s) :

View this question

Donnez le nombre de système(s) π délocalisé(s) dans cette molécule  :

NB : valeur numérique attendue

View this question

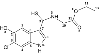
Quel schéma de liaison est adapté à la zone encadrée?

View this question

Want instant access to all verified answers on lms.univ-cotedazur.fr?

Get Unlimited Answers To Exam Questions - Install Crowdly Extension Now!

Browser

Add to Chrome