logo

Crowdly

Browser

Add to Chrome

Фізика для КБ-11, КБ-12 (2025 р)

Looking for Фізика для КБ-11, КБ-12 (2025 р) test answers and solutions? Browse our comprehensive collection of verified answers for Фізика для КБ-11, КБ-12 (2025 р) at mdl.lntu.edu.ua.

Get instant access to accurate answers and detailed explanations for your course questions. Our community-driven platform helps students succeed!

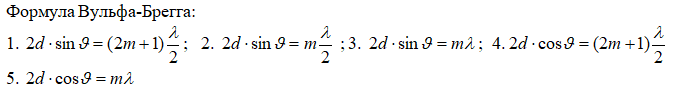
Хвильова оптика

View this question

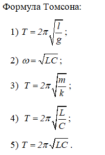
Коливання та хвилі

View this question

Електромагнетизм

View this question

Want instant access to all verified answers on mdl.lntu.edu.ua?

Get Unlimited Answers To Exam Questions - Install Crowdly Extension Now!

Browser

Add to Chrome