logo

Crowdly

Browser

Add to Chrome

THLR 2026

Looking for THLR 2026 test answers and solutions? Browse our comprehensive collection of verified answers for THLR 2026 at moodle-exam.epita.fr.

Get instant access to accurate answers and detailed explanations for your course questions. Our community-driven platform helps students succeed!

View this question

[FR] Quelle propriété doit être vérifiée par un automate déterministe ?

[EN] One of these properties must be verified by a deterministic automaton. Which one?
0%
0%
View this question

[FR] Un état utile d'un automate :

[EN] An useful state of an automaton:

0%
0%
View this question

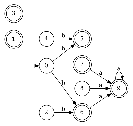
[FR] Combien y a t-il d'états utiles dans l'automate ci-dessous ?

Cette question vaut 2 points.

[EN] How many useful states does the automaton below feature?

This question is worth 2 points.

View this question

[FR] Un automate rejette un mot si et seulement si :

[EN] An automaton rejects a word if and only if:

View this question

[FR] La méthode d'élimination arrière (vue en cours) des -transitions :

[EN] The backward removal (as shown in class) of -transitions:

0%
0%
0%
View this question

[FR] L'algorithme de Thompson :

[EN] Thompson's algorithm:

0%
0%
0%
View this question

[FR] Soient et deux expressions régulières. Alors

[EN] Let and be two regular expressions. Then

0%
0%
0%
View this question

[FR] Soit un langage rationnel, alors est récursivement énumérable.

[EN] If is a rational language, then it is also recursively enumerable.

0%
0%
View this question
View this question

Want instant access to all verified answers on moodle-exam.epita.fr?

Get Unlimited Answers To Exam Questions - Install Crowdly Extension Now!

Browser

Add to Chrome