logo

Crowdly

Browser

Add to Chrome

B242-20SYSA - Systémová analýza

Looking for B242-20SYSA - Systémová analýza test answers and solutions? Browse our comprehensive collection of verified answers for B242-20SYSA - Systémová analýza at moodle-vyuka.cvut.cz.

Get instant access to accurate answers and detailed explanations for your course questions. Our community-driven platform helps students succeed!

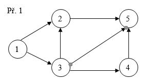
K hledání trasy cesty využíváme:

0%
0%
0%
0%
0%
View this question

Obsahuje následující struktura zpětné vazby?

0%
0%
View this question

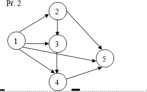
Stanovte mohutnost systému níže:

View this question

5.

Najděte neregulární vazby v systému složeném ze čtyř prvků A,B,C,D.

Struktura

systému je popsána maticí sousednosti:

 

A

B

C

D

A

 

1

1

1

B

1

 

 

1

C

1

 

 

1

D

1

1

1

 

 

Každá

vazba je popsána dvěma parametry P

1 a P2,

parametr

P

1 nabývá kladných hodnot, parametr P2

nabývá dvou hodnot

h

1 a h2.

 

I

O

P1

P2

P1

P2

h1

h2

h1

h2

A

15

 

1

13

 

1

B

10

 

1

8

1

 

C

12

1

 

15

 

1

D

15

 

1

11

 

1

Při posuzování regularity použijte pro

parametr P

1 podmínku {val OUTi}≤{val INj}

a pro parametr P

2 podmínku {val OUTi}={val INj}

Kolik neregulárních vazeb v tomto případě v systému naleznete celkem?

View this question

Jmenujte nějaký způsob vyladění vazeb :-) 

View this question

Rozhraní je:

0%
0%
0%
0%
0%
View this question

Want instant access to all verified answers on moodle-vyuka.cvut.cz?

Get Unlimited Answers To Exam Questions - Install Crowdly Extension Now!

Browser

Add to Chrome