logo

Crowdly

Browser

Add to Chrome

Desenho e Análise de Algoritmos

Looking for Desenho e Análise de Algoritmos test answers and solutions? Browse our comprehensive collection of verified answers for Desenho e Análise de Algoritmos at moodle24.iscte-iul.pt.

Get instant access to accurate answers and detailed explanations for your course questions. Our community-driven platform helps students succeed!

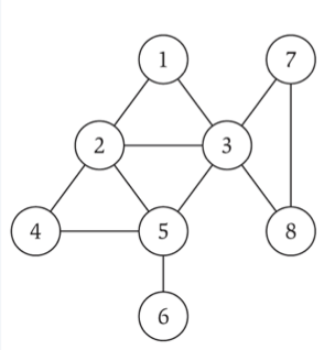
Considere o grafo abaixo e selecione todas as afirmações corretas.

grafo

0%
0%
0%
0%
0%
View this question

Escolha todas respostas corretas para a seguinte questão:

Num grafo não orientado, o que é um caminho?

0%
0%
0%
0%
0%
View this question

Escolha a resposta mais correta para a seguinte questão:

O que é um vértice (nó) num grafo?

0%
0%
0%
0%
View this question

Escolha a melhor opção para a fórmula de fecho da seguinte fórmula recorrente:

0%
0%
0%
0%
View this question

Considere o algoritmo recursivo mostrado na figura abaixo. Estabeleça a ordem de complexidade deste algoritmo no pior caso.

     Nota: Para realizar o cálculo do trabalho, pode considerar o número de acessos ao array a amarelo (mas não é obrigatório).

alg

0%
0%
0%
0%
View this question

Escolha a melhor opção para a ordem de complexidade da seguinte fórmula recorrente:

0%
0%
0%
0%
View this question

Considere o algoritmo quick-select, que resolve o problema da k-seleção através da escolha aleatória do elemento pivot.

Na primeira invocação do algoritmo (i.e., com o array de tamanho ), qual é a probabilidade de se escolher um pivot no intervalo de posições no array?

0%
0%
0%
0%
View this question

Qual das opções abaixo representa uma fórmula recorrente possível para o cálculo da ordem de complexidade do algoritmo seguinte?

ALGORITMO Alg1( n )

   //Input: um inteiro positivo n

   //Output: inteiro positivo Alg1( n )

   If n < 2 return 0

   Else return 2*Alg1(n/4)+n+2

0%
0%
0%
0%
View this question

Escolha a opção correta para a ordem de complexidade da seguinte fórmula recorrente:

0%
0%
0%
0%
View this question

Dada a seguinte fórmula recorrente:

Complete a seguinte frase com a opção mais correta:

"Para o cálculo da ordem de complexidade desta fórmula recorrente..."

0%
0%
0%
0%
View this question

Want instant access to all verified answers on moodle24.iscte-iul.pt?

Get Unlimited Answers To Exam Questions - Install Crowdly Extension Now!

Browser

Add to Chrome