logo

Crowdly

Browser

Add to Chrome

משוואות דיפרציאליות - תוכנה תשפה.ב מרינה

Looking for משוואות דיפרציאליות - תוכנה תשפה.ב מרינה test answers and solutions? Browse our comprehensive collection of verified answers for משוואות דיפרציאליות - תוכנה תשפה.ב מרינה at moodle85.kinneret.ac.il.

Get instant access to accurate answers and detailed explanations for your course questions. Our community-driven platform helps students succeed!

פתרון של מד''ר סדר ראשון הוא

0%
0%
100%
0%
0%
View this question

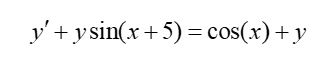
המשוואה

היא משוואה

 

0%
0%
0%
0%
0%
View this question

Want instant access to all verified answers on moodle85.kinneret.ac.il?

Get Unlimited Answers To Exam Questions - Install Crowdly Extension Now!

Browser

Add to Chrome