logo

Crowdly

Browser

Add to Chrome

TEHNICI DE SONDAJ

Looking for TEHNICI DE SONDAJ test answers and solutions? Browse our comprehensive collection of verified answers for TEHNICI DE SONDAJ at moodle.ase.md.

Get instant access to accurate answers and detailed explanations for your course questions. Our community-driven platform helps students succeed!

eşantionarea sistematică - presupune stabilirea unui pas mecanic, obținut ca raport între mărimea populației și mărimea eșantionului (de ex. dacă avem o populație de 10 000 de persoane și un eșantion de 100 de persoane, pasul mecanic este 100). Inconvenientul metodei este același ca în cazul eşantionării aleatoare simple, existenând posibilitatea ca structura eșantionului să fie diferită de cea a populației totale

0%
0%
View this question

Formula de calcul este 

0%
0%
View this question

intervalulde incredere se calcula dupaformula urmatoare

0%
0%
View this question

Ce denumire poartă Intrebările referitoare la anumite comportamente sau situaţii cunoscute de subiecţi. Exemple: ce venit are familia, daca a fost la vot, cu cine a votat la ultimele alegeri, etc;

0%
0%
0%
View this question

_________________ reprezintă o aproximare a valorilor pe care le au anumiţi 

parametri la nivelul populaţiei cercetate, pornind de la valorile 

concrete obţinute la nivelul eşantionului.  

View this question

 Indicatorii tendinţei centrale: 

View this question

În funcție de modul de culegere a datelor există următoarele tipuri de 

anchete (sondaje): 

0%
0%
0%
0%
0%
View this question

Datele primare sunt obţinute prin observări totale sau  parţiale

0%
0%
View this question

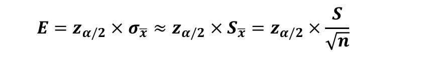
eroaarea sondajului se calcula prin urmatoarea formula?

0%
0%
View this question

Ce denumire poartă Intrebările referitoare la atitudinile şi credinţele celor chestionaţi?

View this question

Want instant access to all verified answers on moodle.ase.md?

Get Unlimited Answers To Exam Questions - Install Crowdly Extension Now!

Browser

Add to Chrome