logo

Crowdly

Browser

Add to Chrome

Математика (Коледж) викладач Крошка Т.І.

Looking for Математика (Коледж) викладач Крошка Т.І. test answers and solutions? Browse our comprehensive collection of verified answers for Математика (Коледж) викладач Крошка Т.І. at moodle.chnu.edu.ua.

Get instant access to accurate answers and detailed explanations for your course questions. Our community-driven platform helps students succeed!

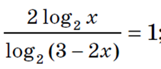
розв'язати рівняння

100%
0%
0%
0%
0%
View this question

Розвязати рівняння

0%
0%
0%
100%
0%
View this question

розв'язати рівняння

0%
0%
0%
0%
0%
View this question

розв'язати рівняння

0%
0%
0%
0%
0%
View this question

розв'язати рівняння

100%
0%
0%
0%
0%
View this question

розв'язати рівняння

0%
0%
100%
0%
0%
View this question

розв'язати рівняння

0%
0%
0%
0%
0%
View this question

0%
0%
0%
100%
0%
View this question

Обчислити

0%
0%
0%
0%
100%
View this question

правильна формула чи ні

100%
0%
View this question

Want instant access to all verified answers on moodle.chnu.edu.ua?

Get Unlimited Answers To Exam Questions - Install Crowdly Extension Now!

Browser

Add to Chrome