logo

Crowdly

Browser

Add to Chrome

Економіко-математичні методи та моделі. Бакалаврат. Викладач: Бондаренко О.О.

Looking for Економіко-математичні методи та моделі. Бакалаврат. Викладач: Бондаренко О.О. test answers and solutions? Browse our comprehensive collection of verified answers for Економіко-математичні методи та моделі. Бакалаврат. Викладач: Бондаренко О.О. at moodle.donnuet.edu.ua.

Get instant access to accurate answers and detailed explanations for your course questions. Our community-driven platform helps students succeed!

На основі даних про роздрібний товарообіг і доходи населення у грошових одиницях побудувати економетричну модель, перевірити її адекватність, визначити коефіцієнт еластичності роздрібного товарообігу

Доходи

населення

Товарообіг

5,8

33,5

5,1

31,2

4,6

29,4

4,2

27,4

3,7

25,7

3,4

22,3

2,9

21,7

2,5

18,9

1,6

17,5

0%
0%
0%
0%
View this question

Задана матриця платежів для гри, в якій приймають участь два гравці. Знайти оптимальну стратегію кожного з гравців, ціну гри

             Гравець В                           

Гравець А

В1

В2

А1

2

9

А2

7

3

View this question

Для заданої мережі знайдіть найкоротший шлях між пунктами X і Y

0%
0%
0%
0%
View this question

На підприємстві виробляють 3 види продукції А, В та С, використовуючи 3 види ресурсів. Ціна одиниці продукції виду А 4 грн., В 2 грн. та виду С 5 грн.. На основі наступної оптимальної симплекс-таблиці визначити яким буде новий план виробництва та максимальний дохід при зниження цін на продукцію В на 1 грн. та на продукцію С на 3 грн.

Базис

Сбаз

ОП

А1

А2

А3

А4

А5

А6

А2

2

150

-1/4

1

0

1/2

-1/4

0

А3

5

220

3/2

0

1

0

1/2

0

А6

0

50

2

0

0

-2

1

1

 

 

1350

3

0

0

1

2

0

View this question

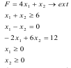
Дано завдання лінійного програмування. Якщо це завдання має рішення, то які знаки мають змінні y1 і y2 двоїстого завдання

View this question

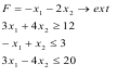
Який з векторів є опорним планом наступної ЗЛП

View this question

Два гравці одночасні і незалежно показують 1, 2 або 3 пальці. Хай s — сума чисел пальців, показаних обома супротивниками. Якщо s — непарне, то гравець 1 платить іншому гравцеві суму s, якщо ж s — парне, цю суму виплачує гравець 2. Чому рівна ціна такої гри

View this question

Проста (парна) регресія - це

0%
0%
0%
0%
View this question

Який критерій використовують для оцінки значущості коефіцієнта кореляції

View this question

Які змінні існують в економетриці

View this question

Want instant access to all verified answers on moodle.donnuet.edu.ua?

Get Unlimited Answers To Exam Questions - Install Crowdly Extension Now!

Browser

Add to Chrome