logo

Crowdly

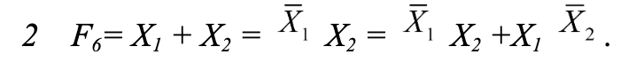
Browser

Add to Chrome

Архітектура обчислювальних систем та комп'ютерна схемотехніка (1 курс)

Looking for Архітектура обчислювальних систем та комп'ютерна схемотехніка (1 курс) test answers and solutions? Browse our comprehensive collection of verified answers for Архітектура обчислювальних систем та комп'ютерна схемотехніка (1 курс) at moodle.elct.lnu.edu.ua.

Get instant access to accurate answers and detailed explanations for your course questions. Our community-driven platform helps students succeed!

Інтерфейс IrDA здійснює зв'язок по:
0%
0%
0%
100%
View this question
Заперечення в булевій алгебрі це:
View this question

На приведеному схемному позначенні  МДН-транзистора  вказати  електрод “cтік”

View this question
Сигнал називають імпульсним який:
View this question
Можливі конфлікти по даних при конвеєризації:
0%
0%
0%
0%
View this question

Кількість  інформації  про  достовірну  подію  рівна

View this question

Вхідна  х-ка ЛЕ це

View this question
Системна плата комп'ютера:
0%
0%
0%
100%
View this question

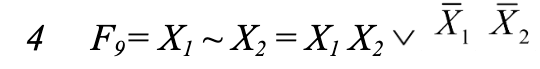
Логічна  функція  сума за модулем два  (виключальне АБО, заперечення еквівалентності)  це

0%
0%
100%
0%
View this question
Час зберігання інформаційї ЗП:
View this question

Want instant access to all verified answers on moodle.elct.lnu.edu.ua?

Get Unlimited Answers To Exam Questions - Install Crowdly Extension Now!

Browser

Add to Chrome