logo

Crowdly

Browser

Add to Chrome

Методології дослідження даних

Looking for Методології дослідження даних test answers and solutions? Browse our comprehensive collection of verified answers for Методології дослідження даних at moodle.elct.lnu.edu.ua.

Get instant access to accurate answers and detailed explanations for your course questions. Our community-driven platform helps students succeed!

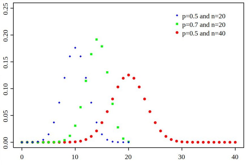
Вкажіть розподіл

100%
0%
0%
0%
0%
View this question

Встановіть відповідність до бібліотеки Scipy ?

Built on top of Numpy with its high-performance array-computing features

Flexible data manipulation capabilities of spreadsheets and relational databases

It provides more utility functions for optimization, stats and signal processing

Provides algorithms for optimization, integration, interpolation, eigenvalue problems, algebraic equations

Extends NumPy providing additional tools for array computing and provides specialized data structures

0%
0%
0%
0%
0%
View this question

Які навички відносяться до роботи зі сховищами?

- Lambda and Kappa Architecture

- Batch processing

- Data Warehouse vs Data Lake

- SQL Databases

- Identity & Device Management

View this question

Який правильний порядок команд для t-SNE plot in 2D coloured by class?

View this question

What are the categories of Metadata?

0%
0%
0%
0%
0%
View this question

What are bayesian networks benefits in data mining?

0%
0%
0%
0%
0%
View this question

Choose 3 types of categorical data 

50%
50%
View this question

Use the right type of graphic

View this question

What are stages of data processing?

View this question

Choose a right description of Entity-Relationship Model

50%
50%
50%
50%
View this question

Want instant access to all verified answers on moodle.elct.lnu.edu.ua?

Get Unlimited Answers To Exam Questions - Install Crowdly Extension Now!

Browser

Add to Chrome