logo

Crowdly

Browser

Add to Chrome

MXFGE2PH15 Commande des Systèmes 2 (2024-2025)

Looking for MXFGE2PH15 Commande des Systèmes 2 (2024-2025) test answers and solutions? Browse our comprehensive collection of verified answers for MXFGE2PH15 Commande des Systèmes 2 (2024-2025) at moodle.epf.fr.

Get instant access to accurate answers and detailed explanations for your course questions. Our community-driven platform helps students succeed!

Sur une plaque à essai, 

100%
0%
View this question

Une platine d'essai, aussi appelée breadboard permet:

100%
100%
100%
View this question

Quel est le shiel utilisé pour le TP ?

0%
0%
0%
View this question

A quoi sert un shield ?

View this question

A quoi sert une carte Arduino ?

View this question

Quelle valeur, exprimée en unités du système international, doit-on alors donner au coefficient

visqueux F pour que le coefficient d’amortissement z du second ordre de H1(p) soit égal à 0,4 ?

0%
0%
0%
0%
View this question

Quelle valeur doit prendre la massse M pour que la pulsation propre non amortie ω0 du second ordre de H1(p) se situe a 1200rad/s. 

La raideur K et la constante électromagnétique B sont fixées pour que les efforts perturbateurs (frottement, jets...) n'affectent pas le fonctionnement de l'électrovanne 

soit K = 20000 N/m et B = 30 N/A.

0%
0%
0%
0%
View this question

Exprimer la fonction de transfert en boucle ouverte:

0%
0%
0%
0%
View this question

La modélisation de l'écoulement dans le distributeur et le circuit compris entre l'électrovanne et le

cylindre de frein montre que la pression de freinage évolue proportionnellement a l'intégrale de la

position de l'équipage mobile (coefficient de proportionnalité C en Pa / ms).

Donner la fonction de transfert: 

0%
0%
0%
View this question

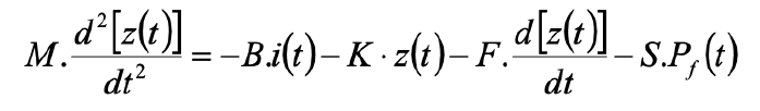
On étudie ici l'electrovanne ABS du système de freinage d'un TGV.

On montre que le théorème de la résultante dynamique appliqué a l'équipage mobile de l'électrovanne en

projection sur l'axe z donne l'équation:

Avec: M est la masse mobile totale (kg),

B est la constante électromagnétique du solénoide (N/A),

K est la raideur des ressorts du centrage (N/m),

F est le coefficient de frottement visqueux lié a l'action du fluide sur l'équipage mobile (N.s/m),

S est la section de réaction (m2).

Variables :

i est le courant de commande (A),

Pf la pression régulée par l'électrovanne (Pa),

z la position de l'équipage mobile (m).

Question: Après transformation de Laplace de l'expression précédente, exprimer la fonction de transfert avec la position de

l'équipage mobile Z(p) en sortie et la pression de freinage Pf(p) et le courant de commande I(p) en entrée. (Le tout sous la forme canonique).

0%
0%
0%
View this question

Want instant access to all verified answers on moodle.epf.fr?

Get Unlimited Answers To Exam Questions - Install Crowdly Extension Now!

Browser

Add to Chrome