logo

Crowdly

Browser

Add to Chrome

2029_Théorie des langage rationnels

Looking for 2029_Théorie des langage rationnels test answers and solutions? Browse our comprehensive collection of verified answers for 2029_Théorie des langage rationnels at moodle.epita.fr.

Get instant access to accurate answers and detailed explanations for your course questions. Our community-driven platform helps students succeed!

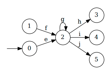
[FR] Combien d'arêtes l'élimination de l'état 2 dans l'algorithme BMC doit-elle créer ?

[EN] How many edges will eliminating state 2 with the BMC algorithm create?

View this question

[FR] Soient et deux automates déterministes à 5 états. Quel est le nombre maximal d'états de leur produit synchronisé ?

[EN] Let and be two deterministic automata with 5 states. What is the maximum number of states of their synchronised product?

View this question

[FR] Il est possible de tester sur les langages rationnels :

[EN] It is possible to test on rational languages:

0%
0%
0%
View this question

[FR] Les langages rationnels sont stables par (plusieurs bonnes réponses possibles) :

Cette question vaut 2 points.

[EN] Rational languages are stable by (there may be multiple correct answers):

This question is worth 2 points.

0%
0%
0%
0%
0%
0%
0%
0%
0%
View this question

[FR] Deux états sont indistinguables s'ils acceptent le même langage.

[EN] Two states are indistinguishable if they accept the same language.

0%
View this question
View this question

[FR] Quel est le nombre maximal d'états du déterminisé d'un automate à 7 états ?

[EN] What is the maximal number of states we can obtain if we determinise an automaton with 7 states?

View this question

[FR] Tout langage rationnel vérifie le lemme de pompage.

[EN] A rational language always verifies the pumping lemma.

0%
View this question

[FR] Tout langage qui vérifie le lemme de pompage est rationnel.

[EN] If a language verifies the pumping lemma, then it's rational.

0%
View this question

[FR] L'inclusion préserve la rationalité.

[EN] Inclusion preserves rationality.

0%
0%
View this question

Want instant access to all verified answers on moodle.epita.fr?

Get Unlimited Answers To Exam Questions - Install Crowdly Extension Now!

Browser

Add to Chrome