logo

Crowdly

Browser

Add to Chrome

Microstructure of materials, Equilibrium Diagrams

Looking for Microstructure of materials, Equilibrium Diagrams test answers and solutions? Browse our comprehensive collection of verified answers for Microstructure of materials, Equilibrium Diagrams at moodle.icam.fr.

Get instant access to accurate answers and detailed explanations for your course questions. Our community-driven platform helps students succeed!

             

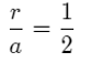
Indicate the relationship between a (length of a mesh) and r (the radius of the atom)

0%
0%
0%
0%
0%
View this question

Give the number of atom of this mesh

Chimie - Chapitre 4 : Structure cristalline Ce qu'il faut retenir… ρ

0%
0%
0%
0%
View this question

             

Indicate the relationship between a (length of a mesh) and r (the radius of the atom)

0%
0%
0%
0%
0%
View this question

m : mass of an atom

V : volume of a unit cell

a : mesh parameter 

N : number of atoms in a mesh

d : the density of mesh 

Choose the right relationships 

View this question

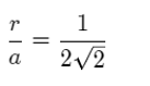
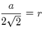
In a Faced centered cubic lattice, the radius r  and a mesh parameter  are connected by : 

•a=

2

√2

r   (2 racine(2) * r)

Choose the right answers

0%
0%
0%
0%
View this question

Give the number of atoms of this mesh

View this question

What is the fill rate of a FCC structure ? 

0%
0%
0%
View this question

Want instant access to all verified answers on moodle.icam.fr?

Get Unlimited Answers To Exam Questions - Install Crowdly Extension Now!

Browser

Add to Chrome