logo

Crowdly

Browser

Add to Chrome

2425 - SIS - M0374-RA7 - ADMINISTRACIÓ DE SO

Looking for 2425 - SIS - M0374-RA7 - ADMINISTRACIÓ DE SO test answers and solutions? Browse our comprehensive collection of verified answers for 2425 - SIS - M0374-RA7 - ADMINISTRACIÓ DE SO at moodle.ieti.cat.

Get instant access to accurate answers and detailed explanations for your course questions. Our community-driven platform helps students succeed!

Què s'imprimeix per pantalla?

0%
0%
0%
0%
0%
View this question

Què s'imprimeix per pantalla quan l'usuari tecleja la lletra 'R':

0%
0%
0%
0%
0%
0%
0%
0%
View this question

Què s'imprimirà per pantalla?

0%
0%
0%
0%
0%
View this question

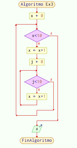
Què s'imprimeix per pantalla a l'executar?

View this question

Indica què sortirà per pantalla quan s'executi:

0%
0%
0%
0%
0%
0%
View this question

Quin valor tindran les variables r , s  , k i t després d'executar aquest diagrama?

0%
0%
0%
0%
0%
0%
0%
View this question

Què sortirà per pantalla?

View this question

Què s'imprimirà per pantalla?

0%
0%
0%
0%
0%
0%
0%
View this question

Què sortirà per pantalla quan executin aquest diagrama?

0%
0%
0%
0%
0%
0%
View this question

Quin codi posaries al rectangle taronja per tal d'obtenir per pantalla: {'a': 2, 'b': 4, 'c': 6}

View this question

Want instant access to all verified answers on moodle.ieti.cat?

Get Unlimited Answers To Exam Questions - Install Crowdly Extension Now!

Browser

Add to Chrome