logo

Crowdly

Browser

Add to Chrome

Вища математика (для галузі знань 12)

Looking for Вища математика (для галузі знань 12) test answers and solutions? Browse our comprehensive collection of verified answers for Вища математика (для галузі знань 12) at moodle.karazin.ua.

Get instant access to accurate answers and detailed explanations for your course questions. Our community-driven platform helps students succeed!

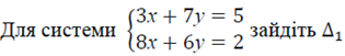
View this question

Знайти кутовий коефіцієнт дотичної до графіка функції у=sinx в точці

View this question

Знайти значення похідної функції при заданному значенні аргумента

View this question

Доповніть речення: «Якщо ліворуч від точки x0 неперервна функція має від’ємну похідну, а праворуч від x0 похідна цієї функції додатна, то x0 — ...».

View this question

Обчислити границю:

View this question

Знайти мінор M32 елемента a32  матриці  

0%
0%
0%
View this question

В результаті множення двох прямокутних матриць отримуємо матрицю

0%
0%
0%
0%
View this question

Найбільший порядок мінорів матриці, відмінних від нуля, називається:

View this question

Матриця називається одиничною, якщо

0%
0%
0%
View this question

Який з наведених нижче добутків не входить у визначник третього порядку:

0%
0%
0%
View this question

Want instant access to all verified answers on moodle.karazin.ua?

Get Unlimited Answers To Exam Questions - Install Crowdly Extension Now!

Browser

Add to Chrome