logo

Crowdly

Browser

Add to Chrome

Економетрика

Looking for Економетрика test answers and solutions? Browse our comprehensive collection of verified answers for Економетрика at moodle.karazin.ua.

Get instant access to accurate answers and detailed explanations for your course questions. Our community-driven platform helps students succeed!

Який критерій використовують для оцінки значимості коефіцієнта кореляції:
View this question
З урахуванням співвідношення між доходом Y (тис. грн) та числом робітників Х (люд): Y= 8,65 + 268*X, магазин, прийнявши на роботу додатково одну людину, може очікувати такий додатковий дохід:
View this question
Яке значення не може приймати коефіцієнт кореляції:
View this question
Який критерій використовується для оцінки статистичної значимості параметрів:
0%
0%
0%
0%
0%
View this question
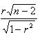
Значимість коефіцієнту кореляції визначається за наступною формулою:
View this question
При якому значенні коефіцієнту кореляції зв'язок між ознаками Y та X можна вважати тісним (сильним):
0%
0%
0%
View this question
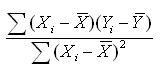
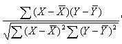
Значення коефіцієнту парної кореляції між факторами X та Y визначається за формулою:
0%
0%
0%
View this question
Коефіцієнт детермінації змінюється у межах:
View this question
Що вимірює коефіцієнт детермінації:
0%
0%
0%
View this question
Рівняння регресії має вигляд Y=12,45+0,55*X. На скільки одиницю свого виміру в середньому зміниться Y при збільшенні X на одну одиницю свого виміру:
0%
0%
0%
0%
View this question

Want instant access to all verified answers on moodle.karazin.ua?

Get Unlimited Answers To Exam Questions - Install Crowdly Extension Now!

Browser

Add to Chrome