logo

Crowdly

Browser

Add to Chrome

Высшая математика (1 часть)

Looking for Высшая математика (1 часть) test answers and solutions? Browse our comprehensive collection of verified answers for Высшая математика (1 часть) at moodle.kstu.ru.

Get instant access to accurate answers and detailed explanations for your course questions. Our community-driven platform helps students succeed!

0%
0%
0%
0%
0%
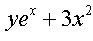
View this question

0%
0%
0%
0%
0%
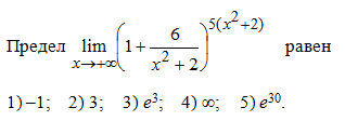
View this question

0%
0%
0%
0%
0%
View this question

0%
0%
0%
0%
0%
View this question

0%
0%
0%
0%
0%
View this question

0%
0%
0%
0%
0%
View this question

View this question

0%
0%
0%
0%
View this question

0%
0%
0%
0%
View this question

0%
0%
0%
0%
View this question

Want instant access to all verified answers on moodle.kstu.ru?

Get Unlimited Answers To Exam Questions - Install Crowdly Extension Now!

Browser

Add to Chrome