logo

Crowdly

Browser

Add to Chrome

L15.2082 - Statistics for Business and Economics (2024/2025)

Looking for L15.2082 - Statistics for Business and Economics (2024/2025) test answers and solutions? Browse our comprehensive collection of verified answers for L15.2082 - Statistics for Business and Economics (2024/2025) at moodle.lisboa.ucp.pt.

Get instant access to accurate answers and detailed explanations for your course questions. Our community-driven platform helps students succeed!

Which of the code lines listed below was used to create this table?

two-way

0%
0%
0%
0%
0%
View this question

Consider the following descriptive statistics on a large sample of north American chocolate bars:

summary_stats

Now consider the graph below. 

big_scatter

Based on the information provided, carefully describe what you have learnt about the two variables and their relationship.

View this question

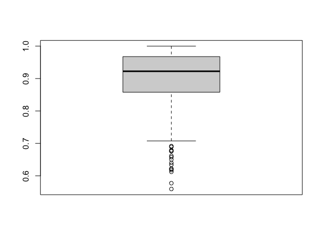
Your employer, Mars Inc., is planning to launch a new premium chocolate bar. Choosing the right supplier of cocoa beans will be critical.  The plot below represents the distribution of the ratings of chocolate bars sourced from the top 5 largest cocoa bean producers. 

 

orig

Based on this information, what source would you choose? Carefully explain why, supporting your arguments with numerical measures.

View this question

Consider the following descriptive statistics on a large sample of north American chocolate bars:

summary

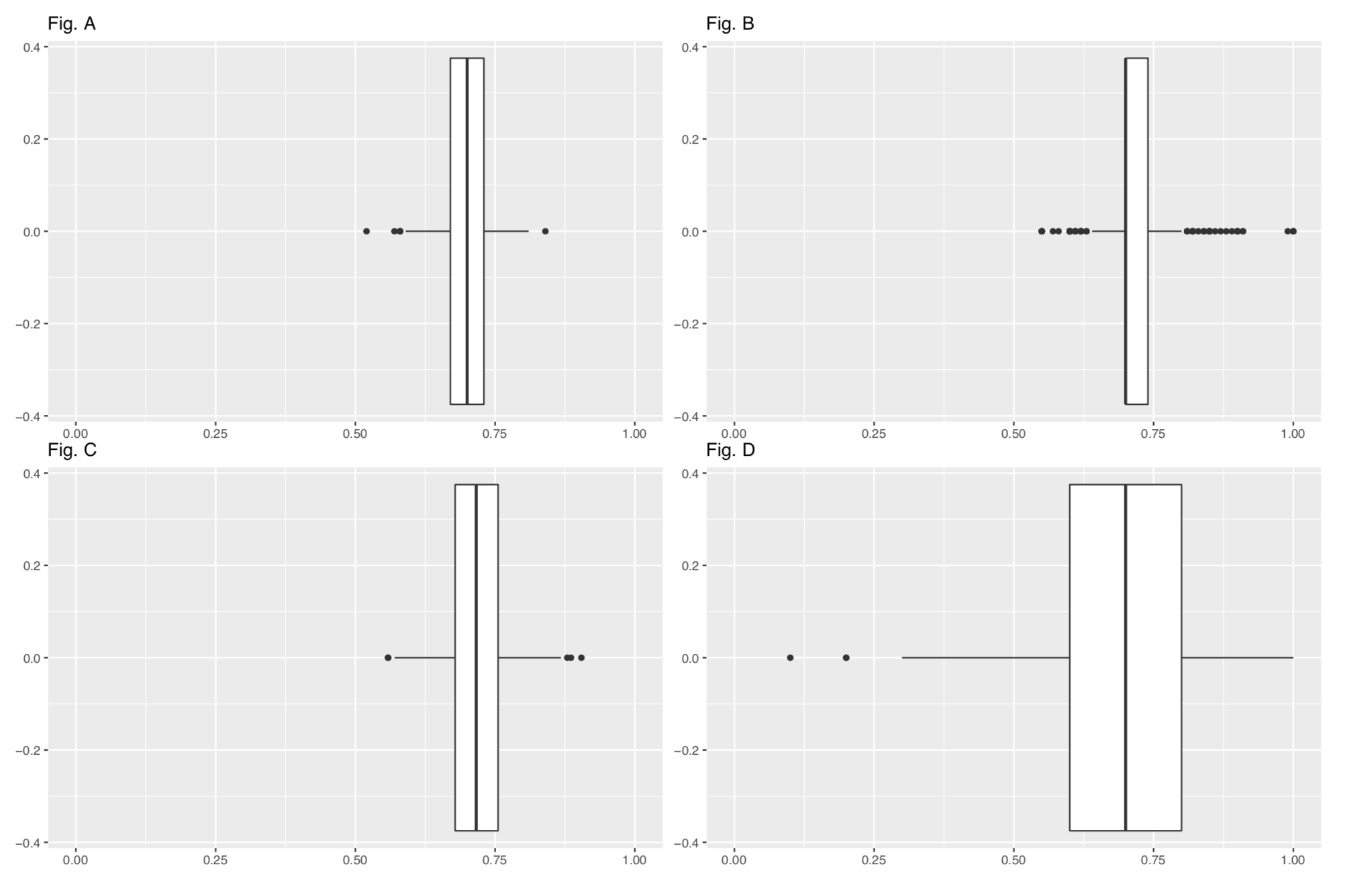
Which of the plots below is a correct depiction of the variable "cocoa_percent"?

boxes_c

View this question

Consider the following research summary:

"To test the widespread idea that chocolate is harmful in instances of acne vulgaris, five normal subjects ingested two enriched chocolate bars daily for one month; this represented a daily addition of the diet of 1,200 calories, of which about half was vegetable fat. Measurements of the subject's output of facial sebum before and after this period indicated no effect caused by the additional chocolate intake."

a) What is the treatment? What are the treatment and control groups?

b) What are the explanatory and response variables?

c) Discuss one possible limitation of this study. 

View this question
View this question

Consider the histogram depicted below:

g

Which boxplot depicts the same data as the histogram?

100%
0%
0%
0%
View this question

A random experiment gave rise to the two-way contingency table shown. 

  

Events L and R are:

100%
0%
0%
0%
View this question
A researcher uses data from a sample of 500 households to estimate the average household income for the entire city.

This is a:
0%
0%
0%
View this question

Which of the following is a characteristic of the median?

0%
0%
0%
0%
View this question

Want instant access to all verified answers on moodle.lisboa.ucp.pt?

Get Unlimited Answers To Exam Questions - Install Crowdly Extension Now!

Browser

Add to Chrome