logo

Crowdly

Browser

Add to Chrome

Signals and Systems 2025-26 (3rd Semester)

Looking for Signals and Systems 2025-26 (3rd Semester) test answers and solutions? Browse our comprehensive collection of verified answers for Signals and Systems 2025-26 (3rd Semester) at moodle.lnmiit.ac.in.

Get instant access to accurate answers and detailed explanations for your course questions. Our community-driven platform helps students succeed!

0%
0%
0%
0%
View this question

0%
0%
0%
0%
View this question

0%
0%
0%
0%
View this question

0%
0%
0%
0%
View this question

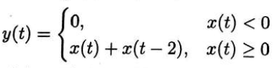
A system is defined as , the system is .......................?

0%
0%
100%
0%
View this question

0%
100%
0%
0%
View this question

If x(t)=u(t), then x(t2)+x(t2) equals:

100%
0%
0%
0%
View this question

Match the following systems with their property

View this question

A discrete-time LTI system has the impulse response:

h[n]=(12)nu[n](13)nu[n]h[n] = \left(\frac{1}{2}\right)^n u[n] - \left(\frac{1}{3}\right)^n u[n]

Which of the following is true?

0%
0%
0%
0%
View this question

0%
0%
0%
100%
View this question

Want instant access to all verified answers on moodle.lnmiit.ac.in?

Get Unlimited Answers To Exam Questions - Install Crowdly Extension Now!

Browser

Add to Chrome