logo

Crowdly

Browser

Add to Chrome

ТАУ - бакалавриат

Looking for ТАУ - бакалавриат test answers and solutions? Browse our comprehensive collection of verified answers for ТАУ - бакалавриат at moodle.ntiustu.ru.

Get instant access to accurate answers and detailed explanations for your course questions. Our community-driven platform helps students succeed!

Определить первые три коэффициента ошибки по задающему

воздействию, если передаточная функция разомкнутой системы имеет вид 

W(p)=K/[p*(1+T1*p)]. K=30, T1=0,01.

В ответ записать числовые значения коэффициентов ошибки.

Обязательно выслать скан вычислений на листке на почту [email protected].

Это вопрос повышенной сложности. Отвечайте на него после ответов на вопросы по выбору.

View this question

Построить в Excel

логарифмическую

амплитудную и логарифмическую фазовую частотные  характеристики для САУ с передаточной функцией

W(p). В ответе указать частоту среза.

 W(p)=K/[(1+T1*p)*(1+T2*p)],  K=40, Т1=0,01, Т2=0,1.

Обязательно выслать скриншот вычислений в Excel на почту [email protected]

Это вопрос повышенной сложности. Отвечайте на него после ответов на вопросы по выбору.

View this question

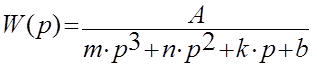
Определить устойчивость разомкнутой системы по

известной ее передаточной

W(p

). Использовать критерий

Гурвица. В ответе указать значения всех определителей Гурвица и сделать вывод

об устойчивости САУ. 

m=1, n=6, k=6, b= -2, A=5.

Это вопрос повышенной сложности. Отвечайте на него после ответов на вопросы по выбору.

View this question
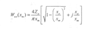
На рисунке приведен коэффициент гармонической линеаризации. Какому нелинейному статическому звену он относится?

50%
0%
0%
50%
0%
View this question
Укажите название особой точки, которая соответствует фазовой траектории на рисунке

0%
50%
50%
0%
0%
View this question
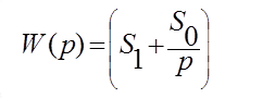
Какой регулятор показан на рисунке

0%
100%
0%
0%
View this question
На рисунке изображена схема с корректирующим устройством. Какая это коррекция САУ?

50%
50%
0%
View this question
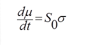
На рисунке показана передаточная функция регулятора. Какой это регулятор?

0%
0%
100%
0%
View this question
На рисунке показана динамическая характеристика регулятора. Какой это регулятор?

50%
0%
0%
50%
View this question
К чему приводит повышение порядка астатизма САУ?
0%
100%
0%
View this question

Want instant access to all verified answers on moodle.ntiustu.ru?

Get Unlimited Answers To Exam Questions - Install Crowdly Extension Now!

Browser

Add to Chrome