logo

Crowdly

Browser

Add to Chrome

Математика (преподаватели Демина Е.Л., Демин С.Е.)

Looking for Математика (преподаватели Демина Е.Л., Демин С.Е.) test answers and solutions? Browse our comprehensive collection of verified answers for Математика (преподаватели Демина Е.Л., Демин С.Е.) at moodle.ntiustu.ru.

Get instant access to accurate answers and detailed explanations for your course questions. Our community-driven platform helps students succeed!

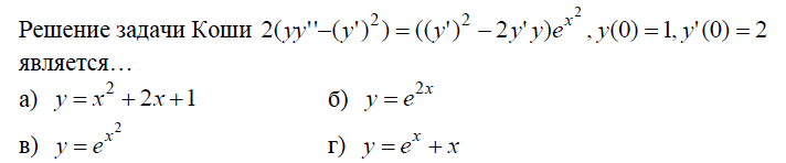
View this question

0%
0%
0%
0%
View this question

View this question
Если  - общее решение дифференциального уравнения , то  равно…
View this question
Однородными уравнениями не являются …
0%
View this question

View this question
View this question
Значение  решения задачи Коши  равно …
View this question

0%
0%
0%
0%
View this question

0%
0%
0%
0%
View this question

Want instant access to all verified answers on moodle.ntiustu.ru?

Get Unlimited Answers To Exam Questions - Install Crowdly Extension Now!

Browser

Add to Chrome