logo

Crowdly

Browser

Add to Chrome

Физика

Looking for Физика test answers and solutions? Browse our comprehensive collection of verified answers for Физика at moodle.ntiustu.ru.

Get instant access to accurate answers and detailed explanations for your course questions. Our community-driven platform helps students succeed!

На рисунке приведен график модуля амплитуды стоячей волны от координаты х. Длина волны  бегущей и отраженной волн, при наложении которых получена эта стоячая волна, равна … м.

View this question
На рисунке изображен график зависимости напряжения U на конденсаторе в идеальном электрическом контуре от времени t. Индуктивность контура L = 1,0 Гн. Максимальное значение электрической энергии колебательного контура равно … мкДж.

0%
0%
0%
0%
View this question
На рисунке приведен график зависимости заряда q от времени t в идеальном колебательном контуре. Циклическая частота колебаний равна … рад/с.

0%
0%
0%
0%
View this question
Время релаксации затухающих электромагнитных колебаний наименьшее в случае
View this question
Решение дифференциального уравнения  движения пружинного маятника ищется в виде зависимости
0%
0%
0%
0%
View this question
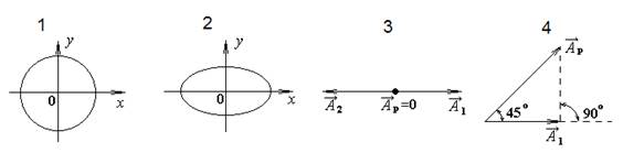
На рисунке под номерами 1, 2 изображены траектории результирующего движения при сложении двух взаимно перпендикулярных гармонических колебаний, а под номерами 3, 4 – векторные диаграммы сложения гармонических колебаний одного направления и одинаковой частоты (, – векторы амплитуд складываемых колебаний,  – вектор амплитуды результирующего колебания). Амплитуды складываемых колебаний равны для случаев, приведенных под номерами

0%
0%
View this question
Уравнение изменения заряда в колебательном контуре имеет вид ). Если период колебаний в контуре T =6 мкс, то минимальное время  после начала колебаний, через которое заряд конденсатора уменьшится в 2 раза, составляет … мкс
View this question
На рисунке под номерами 1, 2 изображены траектории результирующего движения при сложении двух взаимно перпендикулярных гармонических колебаний, а под номерами 3, 4 – векторные диаграммы сложения гармонических колебаний одного направления и одинаковой частоты (– векторы амплитуд складываемых колебаний,  – вектор амплитуды результирующего колебания). Амплитуды складываемых колебаний равны для случаев, приведенных под номерами

0%
0%
0%
0%
View this question
Даны уравнения гармонических колебаний четырёх пружинных маятников с одинаковыми массами. Маятник, имеющий наибольший коэффициент упругости k – … Н/м.
0%
0%
0%
View this question
Для материальной точки совершающей затухающие колебания, полная механическая энергия точки прямо пропорциональна
0%
0%
0%
0%
View this question

Want instant access to all verified answers on moodle.ntiustu.ru?

Get Unlimited Answers To Exam Questions - Install Crowdly Extension Now!

Browser

Add to Chrome