logo

Crowdly

Browser

Add to Chrome

Физика

Looking for Физика test answers and solutions? Browse our comprehensive collection of verified answers for Физика at moodle.ntiustu.ru.

Get instant access to accurate answers and detailed explanations for your course questions. Our community-driven platform helps students succeed!

Уравнение затухающих колебаний материальной точки имеет вид , где , логарифмический декремент затухания . Коэффициент затухания колебаний равен … с-1.
0%
0%
0%
0%
View this question
Точка М одновременно совершает колебания по гармоническому закону вдоль осей координат ОХ и ОУ с одинаковыми амплитудами, разность фаз равна . При соотношении частот 1:1 траектория точки имеет вид, соответствующий схеме под номером…

View this question
Приведены графики механических колебаний. Два графика соответствуют зависимости смещения х, два других – зависимости кинетической Wk и полной энергии W системы от времени. Обозначения вертикальных осей не указаны.

Зависимости полной энергии W системы от времени в консервативной системе соответствует график под номером …
View this question
В колебательном контуре в начальный момент времени напряжение на конденсаторе максимально. Если Т – период электромагнитных колебаний в контуре, то сила тока в контуре достигнет максимального значения в момент времени
0%
0%
0%
0%
View this question
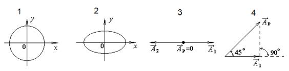
На рисунке под номерами 1, 2 изображены траектории результирующего движения при сложении двух взаимно перпендикулярных гармонических колебаний, а под номерами 3, 4 – векторные диаграммы сложения гармонических колебаний одного направления и одинаковой частоты (– векторы амплитуд складываемых колебаний,  – вектор амплитуды результирующего колебания). Амплитуды складываемых колебаний равны для случаев, приведенных под номерами

View this question
Даны уравнения гармонических колебаний четырёх пружинных маятников с одинаковыми коэффициентами упругости k. Маятник, имеющий наибольшую массу – … кг.
0%
0%
0%
0%
View this question
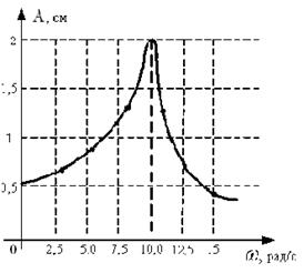
На рисунке представлена зависимость амплитуды колебаний груза на пружине с жесткостью k = 10 Н/м от частоты внешней силы. Максимальная энергия в этой системе равна … Дж.

0%
0%
0%
0%
View this question
Скорость тела массой m =0,1 кг изменяется в соответствии с уравнением м/с. Его импульс в момент времени t = 0,2 с равен … кг·м/с.
0%
0%
0%
0%
View this question
Ниже приведены графики зависимости кинетической Wк и полной механической W энергии от времени t при различных видах механических колебаний. Обозначения осей ординат не указаны.

Зависимость кинетической энергии Wк от времени описывается … графиками.
0%
0%
0%
0%
View this question
Точка М одновременно колеблется по гармоническому закону вдоль оcей координат ОХ и ОУ с одинаковыми амплитудами, разность фаз равна . При соотношении частот 3:2 траектория точки имеет вид, показанный на схеме номер

0%
0%
0%
0%
View this question

Want instant access to all verified answers on moodle.ntiustu.ru?

Get Unlimited Answers To Exam Questions - Install Crowdly Extension Now!

Browser

Add to Chrome