logo

Crowdly

Browser

Add to Chrome

Чисельні методи (Корнієнко)

Looking for Чисельні методи (Корнієнко) test answers and solutions? Browse our comprehensive collection of verified answers for Чисельні методи (Корнієнко) at moodle.ontu.edu.ua.

Get instant access to accurate answers and detailed explanations for your course questions. Our community-driven platform helps students succeed!

Недолік аналітичних методів

0%
0%
0%
0%
View this question

Д

ля диференціального

рівняння

n -го порядку yНі = f (x, y, y´, y´´,..., y(n -1)) задача, яка

полягає

у відшуканні функції y = y(x), що задовольняє рівнянн

ю і початковим умовам:

y(x0 ) = y0y´(x0

)

=

y0´ , …, y (n -1)(x0 ) = y0 (n -1)  

має назву   ....

0%
0%
0%
0%
0%
View this question

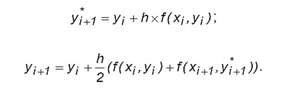
Цей алгоритм відповідає

методу розв'язання диференціального рівняння

0%
0%
0%
0%
View this question

Класифікація оптимізаційних задач. Задачі з обмеженнями;  задачі без обмежень;

-  за принципами .....

 

View this question

Система

лінійних рівнянь має одне рішення, якщо

View this question

Відповідність

між класифікацією оптимізаційних задач та принципами, за якими це робиться

View this question

Недолік чисельних методів

View this question

Відповідність між характеристикою метода золотого перетину та поясненнями

View this question

На

рисунку зображений метод розв’язання рівняння:

View this question

Переваги чисельних меьодів

0%
0%
0%
0%
0%
View this question

Want instant access to all verified answers on moodle.ontu.edu.ua?

Get Unlimited Answers To Exam Questions - Install Crowdly Extension Now!

Browser

Add to Chrome