logo

Crowdly

Browser

Add to Chrome

AP4103 - Foundation Mathematics

Looking for AP4103 - Foundation Mathematics test answers and solutions? Browse our comprehensive collection of verified answers for AP4103 - Foundation Mathematics at moodle.polytechnic.bh.

Get instant access to accurate answers and detailed explanations for your course questions. Our community-driven platform helps students succeed!

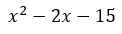
Factorize the following Quadratic Expressions and choose the right answer.

a) 

   

b)

Choose the factors for the above Questions

 

View this question

Find X- intercept , Y-intercept and Turning point from the following graph and match the below questions

Quadratic Functions and Their Graphs

View this question

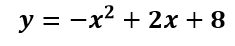
Sketch the graph of the following quadratic equation and select the correct graph from the below choices.

50%
50%
0%
View this question

Want instant access to all verified answers on moodle.polytechnic.bh?

Get Unlimited Answers To Exam Questions - Install Crowdly Extension Now!

Browser

Add to Chrome